
小威和你玩数据
现在大家都在说数据决策,但面对错综复杂的数据,用于决策却不是那么简单的,小威君将与各位“小谈”数据,与大家分享如何看数据,如何透过表面看实质,也许在不久,我们还会“大谈特谈”数据呢。
】
想要预测未来汽车市场批发量,专业的数据建模分析师也许会使用国际标准的统计分析建软件SAS(STATISTICAL ANALYSIS SYSTEM)进行数据处理、模型建立、预测计算。那么,假如作为非专业人员想要挑战自己,尝试自行预测,又有什么其他可行的方法咧?
这一期,小威君将会给大家分享一种基于时间序列分析以及excel应用的“草根”短期预测方法:
— excel短期预测 —
excel?对,你没听错,就是平时做表格的excel!就是辣么滴“简单粗暴”!

【短期预测“模型”原理:在历史中寻找规律】
首先,我们来看一下2008年至2016年乘联会批发量的时间序列图。就酱紫看过去,数据貌似是无规律地在跳动,但认真地看下汽车批发量呈现整体上涨趋势的这个规律是存在的,因此我们可以借助12个月的移动平均线和线性趋势线(excel内选中曲线右键就可以轻松添加啦)进一步发掘其规律。

(所有图片点击可放大)
利用excel绘制出这两条线后我们再次观察数据,发现批发量移动平均线和线性趋势线是有规律地呈现季节波动(两者也十分吻合)。并且季节波动因子呈现一定的时间段性,就是近几年的走势会比较接近(2010年前的季节波动和2012年后的波动规律就有较大差异),这也决定了此方法只能应用于短期预测。

因此我们可以将批发量季节因子进行分离,得出预测的原理:


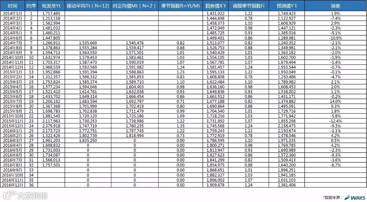
【批发量预测具体步骤】
我们采用三年期预测数据来说明,各计算步骤可直接运用excel公式完成:

求移动平均数Tt:第一期移动平均数T1=(Y1+Y2+Y3+…+Y12)/12,T1是移动平均,需要与历史数据的中间项对齐,T1对齐Y7,T2对齐T8,T2=(Y2+Y3+Y4+…+Y13)/12,同理类推;
求对正移动平均Mt:由于N是偶数,12个月,中间是介于6月和7月之间,因此要对移动平均数两期求平均,形成新的对正序列Mt。M1=(T1+T2)/2,M2=(T2+T3)/2,同时M1和T1对齐,M2和T2对齐,同理类推;
求季节指数ft:将各期实际批发量(观测值)除以对正移动平均,就是季节比率。ft=Yt/Mt,也就是说f1=Y1/M1,f2=Y2/M2,同理类推;
求调整季节指数Fi:将各年同期的季节指数求平均值,就得到调整季节指数Fi;

确定斜率b:根据线性函数模型参数,
b=(Mt末尾项-Mt首项)/Mt项数;
确定截距a:在估计a时,实际观察值
∑Yt=∑(a + bt)=∑a + b∑t=n*a+ b∑t
求解:a=(∑Yt-b∑t)/n
求趋势值X’t:按照公式X’t=a+bt
根据b=(Mt末尾项-Mt首项)/Mt项数=(1,787,745-1,545,476)/19=12751;
a=(50818441-12751*496)/31=1435289;
根据公式计算:X’1=1,448,040; X’2=1,460,791
得出预测值Y’t:根据公式Y’t=X’t*Fi
完成!我们的预测结果这就出来啦!excel也是可以变出“花”来滴~下期我们将接着为大家介绍excel短期预测法“模型”的评估、调整以及历史数据的采集~约定你了哦~

如对excel短期预测存在任何疑问
欢迎私信小威君,小威君将积极为您解答~

↓↓精彩内容回顾:
欲了解权威、科学、实效的汽车数据及咨询,欢迎垂询威尔森客服中心:86-20-83912326
---------------------------------------


