今天的推文继续学习A single-cell atlas of the peripheral immune response in patients with severe COVID-19论文中的代码。今天推文的主要内容是介绍如何使用R语言绘制散点图并且添加拟合曲线和置信区间
这篇论文是在简书 土豆学生信 分享的内容看到的。简书的链接是 https://www.jianshu.com/p/bbf9cb13b41a
论文是
论文对应的代码是公开的 https://github.com/ajwilk/2020_Wilk_COVID
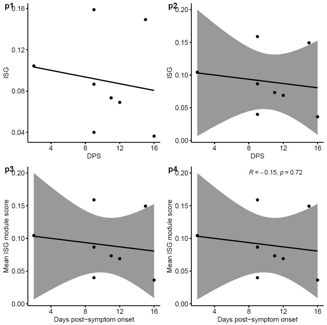
今天重复的内容是论文中的 补充材料Fig4中的小a中的第三个小图
数据准备好是如下格式
需要示例数据可以直接在文末留言
第一步读入数据
mydf<-read.csv("Single_Cell/covid_metadata_c.csv",header=T,row.names = 1)
dim(mydf)
mydf
这里作图用到的是ggscatter()函数,这个函数来自ggpubr这个包。
最基本的散点图
library(ggpubr)
ggscatter(mydf,x="DPS",y="ISG")
这里需要注意的是想x,y后面跟着的值需要加双引号
添加拟合曲线
p1<-ggscatter(mydf,x="DPS",y="ISG",
add = "reg.line")
添加置信区间
p2<-ggscatter(mydf,x="DPS",y="ISG",
add = "reg.line",
conf.int = T)
更改坐标轴标签
p3<-ggscatter(mydf,x="DPS",y="ISG",
add = "reg.line",
conf.int = T)+
labs(y = "Mean ISG module score",
x = "Days post-symptom onset")
添加相关系数和p值
p4<-ggscatter(mydf,x="DPS",y="ISG",
add = "reg.line",
conf.int = T)+
labs(y = "Mean ISG module score",
x = "Days post-symptom onset")+
stat_cor(label.x = 8, label.y = 0.2)
最后是拼图
ggarrange(p1,p2,p3,p4,
ncol = 2,
nrow = 2,
labels = c("p1","p2","p3","p4"))
最终的结果如下
欢迎大家关注我的公众号
小明的数据分析笔记本

