论文
https://www.sciencedirect.com/science/article/pii/S0092867421008916#da0010
Ancient and modern genomes unravel the evolutionary history of the rhinoceros family
犀牛
本地论文 1-s2.0-S0092867421008916-main.pdf
数据和代码下载链接
https://github.com/liushanlin/rhinoceros-comparative-genome
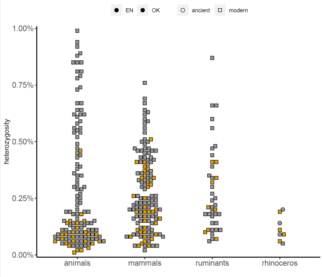
今天的推文我们来重复一下论文中的 Figure3A
论文里提供的代码是使用ggplot2的扩展包ggbeeswarm
首先是读入数据
ht = read.table("heterCombined.txt1")
head(ht)
unique(ht$V1)
-
head()函数是查看数据集的前六行
-
unique()函数是查看一组数据中有多少中元素,可以用来去重复 比如一个向量c(1,1,2,2,2,3,3,3,3)
unique(c(1,1,2,2,2,3,3,3))
加载需要用到的R包
library(ggplot2)
library(scales)
#install.packages("ggbeeswarm")
library(ggbeeswarm)
这里用到的是scales包里的percent()函数,可以把小数转换为百分数 比如
scales::percent(0.05)
最基本的蜂群图
plot = ggplot(data = ht,
aes(x=V1, y=round(V4,4),
fill = V6, shape=V5))+
geom_beeswarm(cex=1.5,
size=2.5,
priority = "density") +
scale_shape_manual(values = c(21,22))
plot
这里有一个问题是fill映射颜色,为什么图例没有颜色呢?
对Y坐标轴进行一些设置
plota = plot +
scale_y_continuous(limits = c(0,0.01),
name = "heterozygosity",
expand = c(0.0001,0.0001),
labels = scales::percent) +
labs(fill="",shape="")
plota
对X坐标轴进行一些设置和手动更改填充颜色
plotb = plota +
scale_fill_manual(values = c("#E69F00", "#999999"))+
scale_x_discrete(name = "",
limits=c("animals", "mammals",
"ruminants","rhinoceros"))
plotb
最后是对主题进行一些设置
plotc = plotb + theme(panel.background = element_blank(),
panel.grid = element_blank(),
axis.line.x = element_line(),
axis.line.y = element_line(),
legend.position = "top",
axis.text = element_text(size = 12))
plotc
论文里提供的代码到这里就结束了,但是这个图和论文中实际用到的图还是有很多不一样的地方的,可能是出图后用其他软件编辑的吧
这里有一个疑问是为啥用fill参数映射颜色图例却没有显示颜色呢?
大家有知道的吗?欢迎留言指出!
示例数据和代码可以直接到论文中提供的下载链接去下载,或者直接在公众号后台留言20210927获取(注意是精确匹配开头结尾都不能有空格)
欢迎大家关注我的公众号
小明的数据分析笔记本
小明的数据分析笔记本 公众号 主要分享:1、R语言和python做数据分析和数据可视化的简单小例子;2、园艺植物相关转录组学、基因组学、群体遗传学文献阅读笔记;3、生物信息学入门学习资料及自己的学习笔记!
欢迎大家关注我的同名视频号
小明的数据分析笔记本

