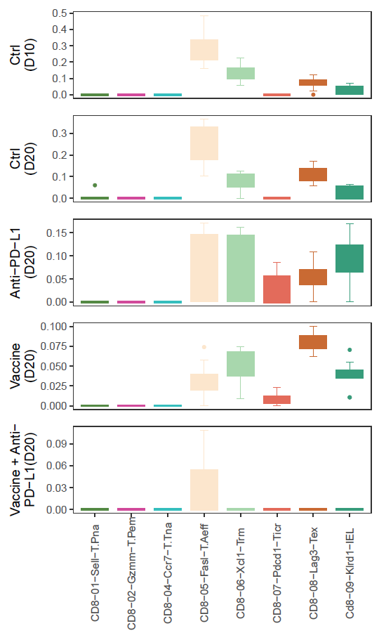
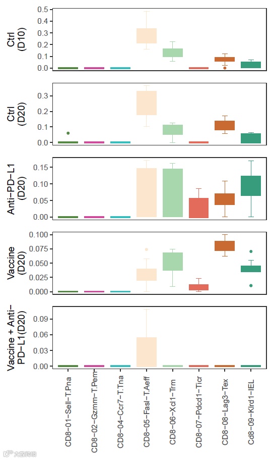
以下图片来源于论文
Liu, L., Chen, J., Zhang, H. et al. Concurrent delivery of immune checkpoint blockade modulates T cell dynamics to enhance neoantigen vaccine-generated antitumor immunity. Nat Cancer 3, 437–452 (2022). https://doi.org/10.1038/s43018-022-00352-7
论文里提供了大部分的图表的原始数据,我用R语言ggpplot2包复现了其中的19个图。以下是19个图的复现截图,如果需要这19个图的代码可以添加我的微信 mingyan24 支付 39 元购买




















