本文讲解:张馨月
本文推介:赵一帆
本文编辑:赵冰洁
一、选题背景
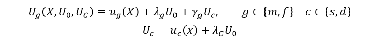
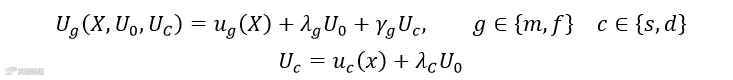
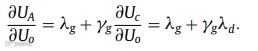
二、理论框架


三、研究数据
四、实证分析

五、文章贡献
小贴士:Markdown的基本语法
听说相貌也能量化 | 调用百度人脸检测API实现颜值打分
列出指定属性的变量|findname命令比ds命令
Json文件好帮手——JsonPath
pyecharts绘图——河流图展示
你知道MDPI期刊的热门题目吗?
分组进行描述性统计的小技巧 --astx命令介绍
工作中一切困难的解决途径——motivatedolly
【爬虫实战】喜茶的门店都开在了哪里?
如何简洁地列出指定属性的变量?ds命令来了!
如何在Python中进行描述性统计分析?
1)必须原创,禁止抄袭;
2)必须准确,详细,有例子,有截图;
注意事项:
1)所有投稿都会经过本公众号运营团队成员的审核,审核通过才可录用,一经录用,会在该推文里为作者署名,并有赏金分成。
2)邮件请注明投稿,邮件名称为“投稿+推文名称”。
3)应广大读者要求,现开通有偿问答服务,如果大家遇到有关数据处理、分析等问题,可以在公众号中提出,只需支付少量赏金,我们会在后期的推文里给予解答。

