本文作者:李书鹏 香港城市大学商学院
本文编辑:管文娜
技术总编:李婷婷
Stata and Python 数据分析
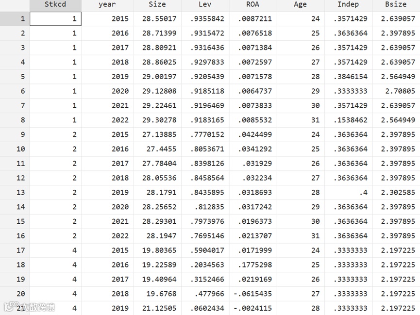
资产负债表原始数据截图如下:

*********资产负债表处理*****clear allcd f:/国泰安import excel using FS_Combas.xlsx, firstdrop in 1/2keep if Typrep== "A" //统一报表类型keep if index(Accper,"-12-31") //保留年度样本gen year = ustrregexs(0) if ustrregexm(Accper,"[0-9]{4}") //提取年份,这里方法有很多,大家可以自行选择drop Accper Typrep ShortName//将字符型变量转化为数值型ren (A001000000 A002000000) (总资产 总负债)save 资产负债.dta,replace********计算Size、Lev、ROA***********clear allcd f:/国泰安use 资产负债.dta,clearmerge 1:1 Stkcd year using 净利润.dta //将资产负债表与利润表合并keep if _m==3drop _mgen Size=ln(总资产)gen Lev=总负债/总资产gen ROA=净利润/总资产save 控制变量.dta,replace

重磅福利!为了更好地服务各位同学的研究,爬虫俱乐部将在小鹅通平台上持续提供金融研究所需要的各类指标,包括上市公司十大股东、股价崩盘、投资效率、融资约束、企业避税、分析师跟踪、净资产收益率、资产回报率、国际四大审计、托宾Q值、第一大股东持股比例、账面市值比、沪深A股上市公司研究常用控制变量等一系列深加工数据,基于各交易所信息披露的数据利用Stata在实现数据实时更新的同时还将不断上线更多的数据指标。我们以最前沿的数据处理技术、最好的服务质量、最大的诚意望能助力大家的研究工作!相关数据链接,请大家访问:(https://appbqiqpzi66527.h5.xiaoeknow.com/homepage/10)或扫描二维码:
对我们的推文累计打赏超过1000元,我们即可给您开具发票,发票类别为“咨询费”。用心做事,不负您的支持!
覆水难收!B站弹幕解读舆论情绪
爬虫俱乐部重磅推出cnstata.com.cn
微信公众号“Stata and Python数据分析”分享实用的Stata、Python等软件的数据处理知识,欢迎转载、打赏。我们是由李春涛教授领导下的研究生及本科生组成的大数据处理和分析团队。
武汉字符串数据科技有限公司一直为广大用户提供数据采集和分析的服务工作,如果您有这方面的需求,请发邮件到statatraining@163.com,或者直接联系我们的数据中台总工程司海涛先生,电话:18203668525,wechat: super4ht。海涛先生曾长期在香港大学从事研究工作,现为知名985大学的博士生,爬虫俱乐部网络爬虫技术和正则表达式的课程负责人。
此外,欢迎大家踊跃投稿,介绍一些关于Stata和Python的数据处理和分析技巧。

