本文约4051个字,专业性较强,阅读时长预计20分钟左右。
在电力电子的EMI分析与建模中,若要得到准确的结果,一个至关重要的前提是能够准确测量出噪声源与传播路径上的阻抗。对于辐射EMI来说,通常的对应频段在30MHz到1GHz之间,由于频率很高,其电压,电流,阻抗等参数的测量容易有较大的误差。
为此,在今年的电源EMI分析与优化设计研讨会中,MPS 公司邀请佛罗里达大学教授,IEEE Fellow —— 王硕老师和我们分享了高频共模电流、电压及阻抗的测量方法,并以一个反激(Flyback)变换器为例来说明这一方法在实际中是如何应用的。
想观看王硕老师演讲的小伙伴,
可扫描如下二维码免费观看

实际上,变换器工作的时候,电路中会有产生高频的dv/dt节点和di/dt环路,最终在变换器的输入和输出端之间形成一个高频的共模电压VA(如图1所示),而变换器的输入与输出线相当于一对双极天线(Dipole Antenna)。这个高频的共模电压会在输入、输出线上激励出高频的共模电流iA,并以电磁场的形式向外辐射能量。因此,如图1所示,依照戴维南定理,变换器的辐射模型可以简化成一个电压源及其串联的阻抗。


图1:电力电子变换器辐射EMI模型。
因此,如果想准确构建辐射模型并预测辐射EMI,必须知道模型中的关键参数,包括噪声源VS,激励电压VA,激励出的电流iA,源阻抗RS、XS,以及天线阻抗等。
如图2所示,天线的能量可以看成以下几部分:一部分在两极之间相互转换,并不辐射到空间去,这部分无功对应的阻抗可以用jXA表示;一部分是发射出去的能量,用Rr来表示;最后一部分是天线上的电流在其本身电阻上产生的损耗,以Rl表示。由此,如图2右侧所示,在考虑天线的阻抗后,整体的辐射EMI模型就得到了。由此,我们将一个电磁场的模型转化成了一个电路模型,为工程师分析EMI问题提供了很大的便利。

图2:天线阻抗的等效模型。
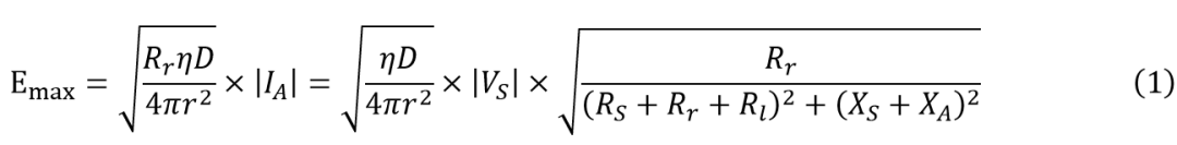
最后,在辐射EMI测量中,实际测到的是变换器在一定距离外的某点产生的电磁场强度。以电场为例,在距离变换器为r的位置,电场强度的最大值Emax可以由(1)式得到:

其中,VS代表噪声源,η为波阻抗,D为方向性,表示该方向上的最大功率密度与半径为r的球面平均功率密度之比,可以通过测量或者仿真得到。
因此,我们可以看出,想预测辐射的最终结果,我们需要得到准确的噪声电压,共模电流以及阻抗。
下文从这三个方面,以一个反激变换器为例,来谈论怎样得到准确的测量结果。
下图左图为反激变换器的拓扑及共模电流路径。
在共模路径上,原边主要有共模滤波器,整流桥,电解电容等;共模电流通过变压器流到副边,并流到输出线上。其中,整流桥的结电容在高频的时候阻抗很小,基本可以认为是短路;输入及输出的电解电容的阻抗也很小,高频的时候也可以认为短路。因此,输入线和输出线可以认为是电路中的两个节点(图中的b点与a点),并得到如图3右图所示的等效模型。其中VCM为等效的噪声电压源,我们会在下一节中详细分析,ZCMTrans和ZCMConv分别代表变压器共模阻抗和回路上其他元件(如PCB走线,滤波器等)的共模阻抗。从图中可以看出,输入输出线上同方向的电流即为要测的共模电流ICM。


图3:反激变换器的电路以及辐射模型。
图4即为共模电流的传统测法:高频电流钳同时钳住输入的火线与零线,并通过同轴线连接至频谱分析仪,得到共模电流的频谱。然而,这个测量方法会有两个误差。

图4:共模电流的传统测试方法。
其一在于,工作中的变换器与同轴线之间会有耦合(包括通过dv/dt节点与同轴线之间的电场耦合,以及变换器与大地之间的di/dt环路与同轴线之间的磁场耦合),会引入测量误差。图5中的a图分析了电场耦合产生的误差;其二在于,输入线的接地阻抗(Zg),即零线与大地之间的阻抗,是随着环境变化的,这个阻抗回路会对共模电流起到分流的作用,导致在不同环境下测试结果不一致,如图5中的b图所示。

(a)

(b)
图5:共模电流测试中近场耦合和接地阻抗的影响。
因此,为了解决这一问题,我们提出了如下图所示的改进方法。即在同轴线以及输入线的前端加多个磁环。磁环可在辐射频率段(30MHz~1GHz)提供高达数千欧姆的阻抗,从而有效避免耦合和接地阻抗带来的影响,由于测量的共模电流对于测试的同轴线来说,是一个差模信号,因此它不会受到磁环影响。

图6:共模电流的改进测试方法。
下图中左图为有无磁环时的共模电流测试结果对比,可见,没加磁环时,测量的共模电流由于近场干扰明显偏高,产生了高达几十dB的误差,而使用磁环可以有效改善结果。而右图则是共模电流的仿真结果,与改进的测量结果的对比,可见两者吻合较好。由此证明了该方法是有效的。
(a)
(b)
图7: (a)共模电流测试结果对比; (b) 共模电流测试与仿真对比
由前文可知,在本例中,反激变换器共模阻抗主要是指变压器的共模阻抗,ZCMTrans。因此,我们需要明白这个共模阻抗是怎么得到的。
如图8所示,在分析EMI模型时,开关管可以用一个电压源进行等效替代,原副边的开关管分别为VPri和VSec。这两个源对共模电流的贡献可以用叠加定理进行考虑。图8右侧即为考虑VPri作为共模噪声源时的辐射EMI模型。可见ZCMTrans即为原副边之间的戴维南等效模型中的阻抗,而VCM则为戴维南等效模型中的电压源。

图8:等效源的替代以及VPri作为噪声源时的共模EMI模型。
当我们来看VPri造成的影响时,根据叠加定理,另一个电压源VSec可看做短路。为了得到该阻抗网络中的各个参数,可以使用网络分析仪,在原边开关的两端施加激励,并测量这一端口与原副边地之间的端口的散射参数(S-Parameter)。
(a)
(b)
图8:(a)VPri作为噪声源时的原副边模型;(b)变压器共模阻抗的测量方法。
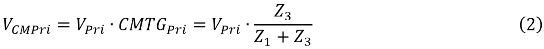
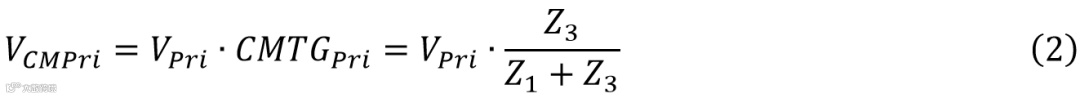
根据测量得到的散射参数(如图9所示),我们可以用π模型来表示端口之间的阻抗网络。在这个网络中,由于和电压源并联的阻抗可以忽略,因此,Z2可以忽略。而由VPri产生的等效共模电压分量和共模阻抗可由式(2),(3)表示:

图9:变压器的高频阻抗模型。


其中,CMTGPri为原边电压源对共模噪声源的传递函数。由此可知,单纯减小变压器的阻抗不一定是降低辐射的办法,最好的方法还是通过变压器的平衡设计减小Z3与Z1的比值。(这部分可以参考我们去年的分享,点击这里穿越回去年分享内容)
同理,副边开关噪声源的影响也可以用类似的方法测量得到。对于降压Flyback来说,原边开关电压幅值更高,因此原边的影响要明显大于副边。我们在辐射模型中,可以以原边噪声源的影响为主。图10为原副边电压源产生的共模噪声源分量的对比。

图10:原边及副边电压源对于共模噪声源的影响对比。
因此,回到图3中的模型,VCM和ZCMTrans就都得到了。
至于天线阻抗和共模路径上的其他阻抗,根据共模模型,可以通过去掉变压器,并测量原副边之间的阻抗来得到。下图展示了测量方法。
值得一提的是,在进行阻抗测量的时候,传输线依然建议加磁环来避免近场耦合的干扰。不过,由于此时变换器不在工作,耦合产生的影响并不严重。

图11:原边及副边之间阻抗测量方法。
图12比较了测得的ZCMTrans与ZCMConv+ZAntenna的结果。可见,在30MHz到100MHz之间,这几个阻抗都基本为容性。而且变压器的阻抗在高频要小于其他共模阻抗与天线阻抗的和。这说明,相比于增大变压器的原副边之间的阻抗,通过设计变压器来减小其等效噪声源,是更为有效的降低辐射的方法。

图12:变压器阻抗、变换器其它共模阻抗及天线阻抗的对比。
通过前文,我们可以发现,对于反激变换器来说,原副边地之间的等效电压源即是输入输出线之间的共模噪声的激励源,那么这个电压怎么来测呢?显然我们无法直接通过示波器的电压探头来测量,因为原副边之间会有很高的工频电压(高达上百伏),由于示波器的分辨率有限,直接测量将会使得高频电压(几百毫伏或更小)的测量误差很大,因此有必要在示波器前加高通滤波器来滤掉工频分量。
为了使得测量结果准确,测量装置需要满足如下条件:
因此,我们提出了如下图的测试装置:电压探头分别接到原边和副边的地,测量其间的电压差(VGNDs),之后通过高通滤波器再连接示波器。在每条测试线上均放置磁环以避免干扰。

图13:通过增加滤波器改进高频电压测量电路。
除此之外,为了使得测量的噪声电压(VGNDs)更接近于噪声电压源VCM,如图14所示,在输入线和输出线上也要加上若干磁环,以尽可能减少变压器共模阻抗对于噪声源的分压。

图14:通过使用磁环改进高频电压测量方法。
图15比较了有无高通滤波器时的测量结果,显然,当没有高通滤波器时,高频电压的测量明显被噪声淹没了,而有高通滤波器的时候,我们可以得到较为准确的结果。

图15:有无高通滤波器时的共模电压测量结果比较。
最后,利用本节测量得到的共模电压和上一节得到的共模阻抗,我们可以预测出变换器的共模电流,从而可以对于第二节中共模电流的测试方法进行相互印证。图16比较了测量共模电流时,是否在测试同轴线及输入线加磁环时的结果,以及通过预测得到的共模电流。显然,加磁环时,我们得到的共模电流结果与预测结果符合得很好。这也再次验证了这些高频参数测试方法的正确性。

图16:有无测试同轴线及输入线磁环的共模电流测量结果比较。
最后,让我们进行一下总结。在这次的EMI分享中,王教授首先介绍了辐射EMI的基本原理和天线模型,之后介绍了高频共模电压,电流,阻抗测量中一些可能的干扰和误差来源,并针对性地提出了改进的测量措施。此外,本次分享也介绍了反激变压器的EMI模型,并验证了所提出的测量方法。
想观看王硕老师演讲的小伙伴,
可扫描如下二维码免费观看

www.monolithicpower.cn
MPS 深圳:0755-36885818,
china-sz@monolithicpower.com
MPS 上海:021-22251700,
china-sh@monolithicpower.com

