欢迎关注R语言数据分析指南
❝本节来介绍如何使用R语言来进行「逻辑回归与决策树模型分析」,下面小编通过一个案例来进行展示,结果仅供展示用,希望各位观众老爷能够喜欢。数据代码已经整合上传到2023VIP交流群,加群的观众老爷可自行下载。
❞
关注下方公众号下回更新不迷路
加载R包
library(tidyverse)
library(caTools)
导入数据
creditcard_data <- read_csv("creditcard.csv")
数据清洗
creditcard_data$Amount = scale(creditcard_data$Amount) # 对Amount列进行标准化处理
NewData = creditcard_data[, -c(1)]
构建模型
set.seed(123) # 设置随机种子,以确保可重复性
# 使用sample.split函数对数据进行分割,80%用于训练,20%用于测试
data_sample = sample.split(NewData$Class, SplitRatio = 0.80)
train_data = subset(NewData, data_sample == TRUE) # 创建训练数据集
test_data = subset(NewData, data_sample == FALSE) # 创建测试数据集
# 使用逻辑回归模型进行训练,并将模型存储在Logistic_Model变量中
Logistic_Model = glm(Class ~ ., test_data, family = binomial())
summary(Logistic_Model) # 显示逻辑回归模型的摘要信息
plot(Logistic_Model) # 绘制逻辑回归模型的图形
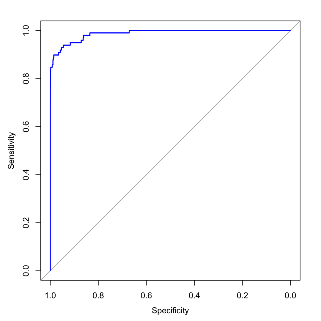
绘制ROC曲线评估模型有效性
library(pROC)
lr.predict <- predict(Logistic_Model,test_data, probability = TRUE)
auc.gbm = roc(test_data$Class, lr.predict, plot = TRUE, col = "blue")
构建决策树
library(rpart)
# install.packages("rpart.plot")
library(rpart.plot) # 用于决策树的可视化
# 使用决策树模型进行训练,并将模型存储在decisionTree_model变量中
decisionTree_model <- rpart(Class ~ . , creditcard_data, method = 'class')
# 使用决策树模型进行预测,将预测值存储在predicted_val变量中
predicted_val <- predict(decisionTree_model, creditcard_data, type = 'class')
# 计算预测的概率,并存储在probability变量中
probability <- predict(decisionTree_model, creditcard_data, type = 'prob')
rpart.plot(decisionTree_model) # 使用rpart.plot函数绘制决策树模型
❝本节内容介绍到此结束,有需要学习个性化数据可视化的朋友,欢迎到小编的「淘宝店铺」 「R语言数据分析指南」购买「2023年度会员文档」同步更新中「售价149元」,内容主要包括各种「高分论文的图表分析复现以及一些个性化图表的绘制」均包含数据+代码;按照往年数据小编年产出约在150+以上
❞
购买后微信发小编订单截图即邀请进新的会员交流群,小编的文档为按年售卖,只包含当年度的「除系列课程外」的文档,有需要往年文档的朋友也可下单购买,需要了解更多信息的朋友欢迎交流咨询。
淘宝扫一扫
2023会员群案例展示










