

Nature子刊原图(上) VS CNSknowall复现结果(下)
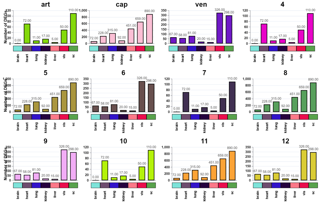
CNSknowall100%1:1完美复现文献原图,横纵坐标,每跟柱子高度与原图完全一致。另外我们复现结果标注了每个柱子的具体数值,同时在横坐标下方将不同观察指标(器官)标注不同颜色的方格,凸显分组效果,呈现更全面信息,在复现的基础上进一步优化和升华。Ven最后两根柱子的数值与原图存在差异,原因在于作者提供的数据跟文献原图不对应,source date数据偶尔会遇到这样的问题。
复现目标图片介绍
--- ·多组批量矩阵柱状图· ---
多组批量矩阵柱状图通过将多个柱状图放置在一个矩阵中,每个柱状图表示一个分组(不同分组用不同颜色呈现),所有柱状图上的横坐标都具有相同的多个变量(研究对象)名称,可以用于直观可视化多个研究对象/变量/待测指标在不同分组中的分布情况(数值或百分比的大小和变化趋势)。比如可以用于分析几种常见呼吸道病毒在不同年龄段的分组人群中的感染人数或感染率、几种检测指标在不同实验条件下(每种实验条件表示一个分组)的检测水平等,应用范围较广,有必要掌握。
在本次复现的目标文献中,作者对进行正常饮食(chow diet)和西方饮食(WD diet)小鼠的脑、心脏、肺、肾脏、肝脏、内脏脂肪组织(Vis AT)和皮下脂肪组织(Sc AT)共7个主要器官中分离出的内皮细胞【分为三类,包括动脉和小动脉(art,a),毛细血管(cap,c)和小静脉(ven,v)】进行scRNA-seq测序,用多组批量矩阵柱状图展示了7种器官(横坐标)中的三种内皮细胞(3个分组=3个柱状图)各自的差异基因数量(Number of DEGs,纵坐标)。
原文 Figure 1e
详细复现步骤
--- ·3分钟准备数据,1秒出图· ---
1
数据下载和整理
①从原文下载公开的Source date原始数据集,原文链接:
https://www.nature.com/articles/s42255-022-00674-x
下载Source data Fig.1。

②用Excel打开Source data Fig.1,找到Fig1e:

③文末点击“阅读原文”直达(或复制链接到电脑浏览器上收藏)进入平台:http://cnsknowall.com/index.html#/HomePage
进入数据分析-基础分析-表格与格式,点开表格置换,清空表格中的示例数据:

④将上述②中的Fig1e的第2-5行复制粘贴到表格置换右侧的文本框表格中,并在A-1表格中填入“分组”:

⑤数据检查无误后点击表格下方的上传按钮:

⑥页面上传会提示上传成功,点开:导出excel,完成行列互换。

完成行列互换后得到可以直接用于1秒出图的数据:

2
上传数据,1秒出图
①再次进入平台:http://cnsknowall.com/#/HomePage
直接微信扫码登录即可免费使用,进入“数据分析”——“基础分析”——“柱状图”,点击进入矩阵柱状图分析界面。

②清空矩阵柱状图分析界面右侧表格,直接将步骤1-⑥中最后得到的可以直接用于1秒出图的数据粘贴到其中,点击上传,页面上分提示上传成功后,点击左下角的开始作图:

1秒内即可得到跟Nature子刊原文fig1e完全相同的三个矩阵驻柱状图:

原文只有3个柱状图,显然太少,那么如何画出开头大师姐和小师弟聊天记录中的12张矩阵柱状图呐?只需要在该模块右侧表格中继续添加新的列就可以了,每增加一列表示增加一组数据,目前本平台最多同时支持一次性画12张柱状图,大家如果需要更多可以分批进行绘制后再拼图,两次拼图可以凑成24张,三次拼图凑成36个柱状图,四次48个,五次。。。。。

3
图形参数修改和美化
平台提供了很多个性化调参的选项,可以根据自己的喜好和目标杂志要求调整图表的字体、配色等参数。另外如果您调整的参数在课题组汇报展示的时候导师不满意,可以进去“数据分析-我的项目”找到该矩阵柱状图的分析记录,进而二次参数调整,直到导师满意为止,不用重新上传数据哦!

还可以显示每根柱子的数值,并改动数值的位置,相比原文青出于蓝胜于蓝:

另外还可以通过我们全网首创的随机变色功能一键切换所有柱子颜色,直接自己满意为止:

更为惊喜的是,我们首次创新性的将取色器用于在线数据分析,可以一键复制目标期刊上的配色方案(原理是取色笔可以对电脑屏幕上所有区域颜色取色):


最后点击下载图片,导出矢量PDF后可以进一步通过PDF的编辑功能,进一步编辑图表的各个细节比如调整标题位置、挪动标签位置、字体大小和位置、加粗任意文字的字体、在任意位置添加文字等:

快来体验前所未有的极速数据分析之旅吧!
END
点击关注我们,用最短的时间和最高的效率学习更多数据分析方法!
由于CNSknowall平台过于火爆,短短10天内1群、2群和3群均已满200人无法通过扫码进群,想进群的道友请打开网页链接后直接扫码注册登录平台,在数据分析页面添加客服微信,直接邀请进群。
Nature子刊原图(上) VS CNSknowall复现结果(下)
CNSknowall100%1:1完美复现文献原图,横纵坐标,每跟柱子高度与原图完全一致。另外我们复现结果标注了每个柱子的具体数值,同时在横坐标下方将不同观察指标(器官)标注不同颜色的方格,凸显分组效果,呈现更全面信息,在复现的基础上进一步优化和升华。Ven最后两根柱子的数值与原图存在差异,原因在于作者提供的数据跟文献原图不对应,source date数据偶尔会遇到这样的问题。
多组批量矩阵柱状图通过将多个柱状图放置在一个矩阵中,每个柱状图表示一个分组(不同分组用不同颜色呈现),所有柱状图上的横坐标都具有相同的多个变量(研究对象)名称,可以用于直观可视化多个研究对象/变量/待测指标在不同分组中的分布情况(数值或百分比的大小和变化趋势)。比如可以用于分析几种常见呼吸道病毒在不同年龄段的分组人群中的感染人数或感染率、几种检测指标在不同实验条件下(每种实验条件表示一个分组)的检测水平等,应用范围较广,有必要掌握。
在本次复现的目标文献中,作者对进行正常饮食(chow diet)和西方饮食(WD diet)小鼠的脑、心脏、肺、肾脏、肝脏、内脏脂肪组织(Vis AT)和皮下脂肪组织(Sc AT)共7个主要器官中分离出的内皮细胞【分为三类,包括动脉和小动脉(art,a),毛细血管(cap,c)和小静脉(ven,v)】进行scRNA-seq测序,用多组批量矩阵柱状图展示了7种器官(横坐标)中的三种内皮细胞(3个分组=3个柱状图)各自的差异基因数量(Number of DEGs,纵坐标)。
原文 Figure 1e
1
数据下载和整理
①从原文下载公开的Source date原始数据集,原文链接:
https://www.nature.com/articles/s42255-022-00674-x
下载Source data Fig.1。

②用Excel打开Source data Fig.1,找到Fig1e:

③文末点击“阅读原文”直达(或复制链接到电脑浏览器上收藏)进入平台:http://cnsknowall.com/index.html#/HomePage
进入数据分析-基础分析-表格与格式,点开表格置换,清空表格中的示例数据:

④将上述②中的Fig1e的第2-5行复制粘贴到表格置换右侧的文本框表格中,并在A-1表格中填入“分组”:

⑤数据检查无误后点击表格下方的上传按钮:

⑥页面上传会提示上传成功,点开:导出excel,完成行列互换。

完成行列互换后得到可以直接用于1秒出图的数据:


②用Excel打开Source data Fig.1,找到Fig1e:

③文末点击“阅读原文”直达(或复制链接到电脑浏览器上收藏)进入平台:http://cnsknowall.com/index.html#/HomePage
进入数据分析-基础分析-表格与格式,点开表格置换,清空表格中的示例数据:

④将上述②中的Fig1e的第2-5行复制粘贴到表格置换右侧的文本框表格中,并在A-1表格中填入“分组”:

⑤数据检查无误后点击表格下方的上传按钮:

⑥页面上传会提示上传成功,点开:导出excel,完成行列互换。

完成行列互换后得到可以直接用于1秒出图的数据:

2
上传数据,1秒出图
①再次进入平台:http://cnsknowall.com/#/HomePage
直接微信扫码登录即可免费使用,进入“数据分析”——“基础分析”——“柱状图”,点击进入矩阵柱状图分析界面。

②清空矩阵柱状图分析界面右侧表格,直接将步骤1-⑥中最后得到的可以直接用于1秒出图的数据粘贴到其中,点击上传,页面上分提示上传成功后,点击左下角的开始作图:

1秒内即可得到跟Nature子刊原文fig1e完全相同的三个矩阵驻柱状图:

原文只有3个柱状图,显然太少,那么如何画出开头大师姐和小师弟聊天记录中的12张矩阵柱状图呐?只需要在该模块右侧表格中继续添加新的列就可以了,每增加一列表示增加一组数据,目前本平台最多同时支持一次性画12张柱状图,大家如果需要更多可以分批进行绘制后再拼图,两次拼图可以凑成24张,三次拼图凑成36个柱状图,四次48个,五次。。。。。


②清空矩阵柱状图分析界面右侧表格,直接将步骤1-⑥中最后得到的可以直接用于1秒出图的数据粘贴到其中,点击上传,页面上分提示上传成功后,点击左下角的开始作图:

1秒内即可得到跟Nature子刊原文fig1e完全相同的三个矩阵驻柱状图:

原文只有3个柱状图,显然太少,那么如何画出开头大师姐和小师弟聊天记录中的12张矩阵柱状图呐?只需要在该模块右侧表格中继续添加新的列就可以了,每增加一列表示增加一组数据,目前本平台最多同时支持一次性画12张柱状图,大家如果需要更多可以分批进行绘制后再拼图,两次拼图可以凑成24张,三次拼图凑成36个柱状图,四次48个,五次。。。。。

3
图形参数修改和美化
平台提供了很多个性化调参的选项,可以根据自己的喜好和目标杂志要求调整图表的字体、配色等参数。另外如果您调整的参数在课题组汇报展示的时候导师不满意,可以进去“数据分析-我的项目”找到该矩阵柱状图的分析记录,进而二次参数调整,直到导师满意为止,不用重新上传数据哦!

还可以显示每根柱子的数值,并改动数值的位置,相比原文青出于蓝胜于蓝:

另外还可以通过我们全网首创的随机变色功能一键切换所有柱子颜色,直接自己满意为止:

更为惊喜的是,我们首次创新性的将取色器用于在线数据分析,可以一键复制目标期刊上的配色方案(原理是取色笔可以对电脑屏幕上所有区域颜色取色):


最后点击下载图片,导出矢量PDF后可以进一步通过PDF的编辑功能,进一步编辑图表的各个细节比如调整标题位置、挪动标签位置、字体大小和位置、加粗任意文字的字体、在任意位置添加文字等:

快来体验前所未有的极速数据分析之旅吧!

还可以显示每根柱子的数值,并改动数值的位置,相比原文青出于蓝胜于蓝:

另外还可以通过我们全网首创的随机变色功能一键切换所有柱子颜色,直接自己满意为止:

更为惊喜的是,我们首次创新性的将取色器用于在线数据分析,可以一键复制目标期刊上的配色方案(原理是取色笔可以对电脑屏幕上所有区域颜色取色):


最后点击下载图片,导出矢量PDF后可以进一步通过PDF的编辑功能,进一步编辑图表的各个细节比如调整标题位置、挪动标签位置、字体大小和位置、加粗任意文字的字体、在任意位置添加文字等:

快来体验前所未有的极速数据分析之旅吧!
由于CNSknowall平台过于火爆,短短10天内1群、2群和3群均已满200人无法通过扫码进群,想进群的道友请打开网页链接后直接扫码注册登录平台,在数据分析页面添加客服微信,直接邀请进群。




CNSknowall (中文:CNS万事通)平台是今年(24年)1月份新上线的一款专门针对医学领域的创新型免费在线数据分析云平台,除数据分析外还内置医学数据分析、AI文献查询,实验机制/研究路线图制作等科研常用功能模块。和目前常用的数据分析工具如SPSS、Origin、GraphPad Prsim和R语言相比,CNSknowall在数据上传、配色修改和参数调整等各方面做出了一系列重大创新,各项性能遥遥领先,几乎没有任何学习成本(包括时间成本和金钱成本),甚至优于GPT(毕竟GPT不是专门的数据分析工具)。您只需要简单的套用平台提供的固定数据格式复制粘贴替换成自己的数据,鼠标点点点就可以完成CNS级别的高水平图表制作,可以让不擅长或没接触过数据分析的人以最短的时间内快速建立医学数据分析的基本思维,以最快的速度掌握各种数据分析技能,帮助大家在数据分析上节省大量宝贵的时间,从而可以把时间和精力用在更重要的事情比如查阅文献和设计研究思路方案等,提高文章发表速度,减缓毕业焦虑,赋能职业生涯,开启科研天骄之路!
我们的愿景:让天下没有难做的医学科研数据分析,让广大没有发过CNS的科研工作离CNS更进一步!
CNSknowall 首页
很多时候知道自己要画什么图往往比会画什么图更重要
平台包含300个数据分析模块,您可以快速找到能让自己数据价值最大化的分析方法

