
CNKknowall完美复现Nature子刊原图,每条曲线走势跟原文丝毫不差,P值也是一个小数点都不差,大伙评估下这能否算得上全网最精准复现!快来换成自己数据试试吧!再也不用担心自己用R语言代码分析时怀疑自己代码是否有问题了!
CNKknowall完美复现Nature子刊原图,每条曲线走势跟原文丝毫不差,P值也是一个小数点都不差,大伙评估下这能否算得上全网最精准复现!快来换成自己数据试试吧!再也不用担心自己用R语言代码分析时怀疑自己代码是否有问题了!
原理:Kaplan-Meier生存曲线基于观察到的生存时间数据,通过估计生存函数来描述生存率。其基本原理是根据患者的生存时间和事件发生情况(如死亡、复发等)来计算生存概率。具体步骤如下:
①收集患者的生存时间数据和事件发生情况(如死亡、复发等)。
②对生存时间进行排序,并计算每个时间点的生存概率。
③根据事件发生情况,调整生存概率。
④绘制生存曲线,横轴表示时间,纵轴表示生存概率。
作用:Kaplan-Meier生存曲线可以提供以下信息:
①生存率:可以估计患者在特定时间点或时间段内的生存率。
② 生存差异:可以比较不同组之间的生存差异,例如治疗组和对照组之间的生存差异。
③预测生存:可以根据生存曲线预测患者在未来时间内的生存概率。
通过分析Kaplan-Meier生存曲线,医学研究人员可以评估治疗方法、药物或其他干预措施对患者生存的影响,从而指导临床决策和改进治疗策略。
①打开NC原文链接:
https://www.nature.com/articles/s41467-022-29366-6#Sec32
下载Source Data数据:

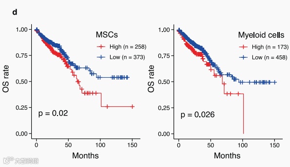
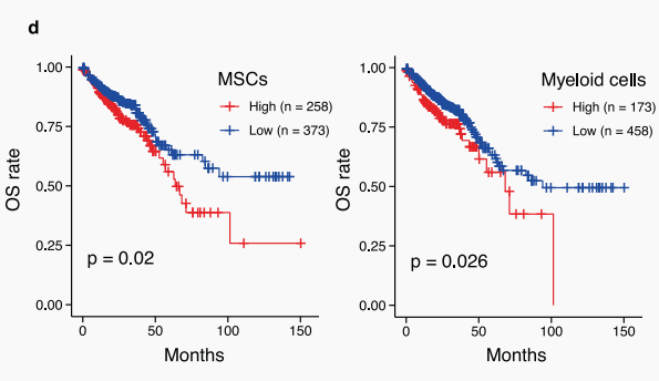
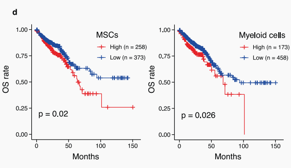
②用Excel打开Source Data 数据,找到本次复现目标Fig 2d的数据,如下所示。该NC原文通过KM生存曲线探究了来自公TCGA公共数据库的肿瘤患者的MSCs(左)或髓系细胞(右)浸润程度高低是否与较差的OS (d)相关。


①复制CNSknowall平台链接到电脑浏览器上:https://cnsknowall.com/#/HomePage
微信扫码登录进入平台找到:数据分析➡高阶分析➡生存分析,打开Kaplan-Meier生存曲线,参数选择不用改动,选择默认的即可:




④将上述②中Kaplan-Meier生存曲线模块右侧文本框表格中的D列MSCs的数据粘贴替换成步骤1②中从原文提供的Myeloid.cells数据,如下所示。替换后依次点击“上传”-“开始作图”选项,即可一秒内画出Fig 2d的右侧KM曲线图。最后将上一步得到的MSCs的KM生存取消图和本步骤得到的Myeloid.cells的生存图拼在一起后即可得到推文开头CNSknowall的复现结果图。


推文开头CNSknowall的复现结果图
①全网首创的一键随机变色功能,一键切换全图配色,颠覆传统调色模式,遥遥领先:




CNSknowall (中文:CNS万事通)平台是今年(24年)1月份新上线的一款专门针对医学领域的现象级的创新型免费在线数据分析云平台,除数据分析外还内置AI文献语聊查询,GPT3.5、GPT学术版、实验机制/研究路线图制作等科研常用功能模块。CNSKnowall平台创立的初衷就是为了解决目前医学生日益增长的高难度数据分析需求与落后的数据分析工具无法达到要求之间的矛盾,和目前常用的数据分析工具如SPSS、Origin、GraphPad Prsim和R语言相比,CNSknowall在数据上传、配色修改和参数调整等各方面做出了一系列颠覆性重大创新,各项性能遥遥领先,几乎没有任何学习成本(包括时间成本和金钱成本)。平台直接提供了>300种数据分析可视化图表以及配套示例数据,彻底改变了传统分析工具需要先下载软件、再去费时费力搜各种图表教程和代码的模式,您只需要简单的套用平台提供的固定数据格式(模板)复制粘贴替换成自己的数据,鼠标点点点就可以完成CNS级别的高水平图表制作,可以让不擅长或没接触过数据分析的人以最短的时间内快速建立医学数据分析的基本思维,以最快的速度掌握各种数据分析技能;让广大受苦受难的医学生用最低的成本,最少的时间,最高的效率快速处理自己的科研数据:从知道自己要画什么图到画出来自己想画的图,让人人不再受数据分析难题的折磨,以最快的速度进阶数据分析大师。可以帮助大家在数据分析上节省大量宝贵的时间,从而可以把时间和精力用在更重要的事情比如查阅文献和设计研究思路方案等,提高文章发表速度和质量,减缓毕业焦虑,赋能职业生涯,开启科研天骄之路!
我们的愿景:
让天下没有难做的医学科研数据分析!
帮广大没有发过CNS的科研工作者扫清数据分析障碍,离CNS更进一步!
由于CNSknowall平台过于火爆,短短10天内1群、2群和3群均已满200人无法通过扫码进群,想进群的道友请打开网页链接后直接扫码注册登录平台,在数据分析页面添加客服微信,直接邀请进群。
火速进群,升级打怪,会晤道友,结识道侣!


CNSknowall平台首页

很多时候知道自己要画什么图往往比会画什么图更重要!
平台包含300个数据分析模块,您可以快速找到能让自己数据价值最大化的分析方法

