欢迎关注R语言数据分析指南
❝「R语言」在科研论文发表中扮演着关键角色,尤其在数据分析和统计绘图方面。它以「高度的自定义性和图表的美观性著称」,为了帮助学习者更好地掌握R语言,我们提供了一个持续更新的数据可视化会员文档库。「这份文档包含数百个数据可视化文档,是学习和提升技能的理想选择」。目前已有2000余付费读者加入,一次付费长期有效持续更新,有效地提升您的R语言应用能力。
❞
内容介绍
❝此份R可视化学习文档目前包含(2023年份+2024年份)「已经更新上传的150+案例文档」后期内容将在交流群内持续更新,每个案例都附有相应的数据和代码,并配有对应的注释文档,方便大家学习和参考。有需要的朋友欢迎到「淘宝店铺」 「R语言数据分析指南」下单购买。购买后会邀请加入交流群
❞
「目前会员交流群还有37人满群,有兴趣的朋友欢迎及时加入」,
淘宝店铺(长按二维码跳转)

宝贝详情
「2024更新的绘图内容同时包含数据+代码+markdown注释文档+文档清单」
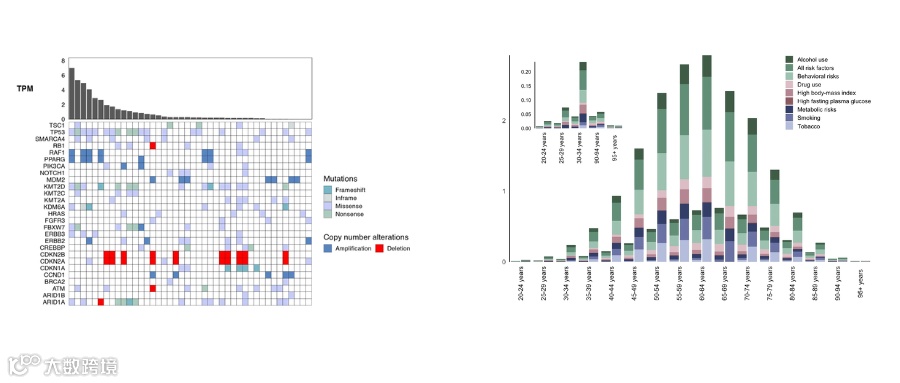
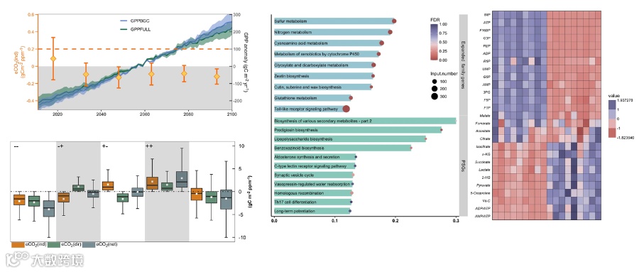
2024年更新案例












2023年案例图展示











