❝本节继续来跟着nature系列期刊学绘图,为条形图自定义添加p值,数据为论文源数据分析方法未严格按照文章进行结果有所不同,整个过程仅参考。希望对各位观众老爷能有所帮助。「数据+完整代码已经整合上传到会员交流群」,购买过小编VIP的朋友可在所加的会员群内获取下载,有需要的朋友可关注文末介绍加入VIP交流群。
❞
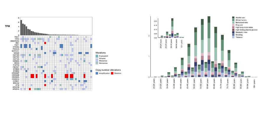
论文
❝有需要学习数据可视化的朋友欢迎购买小编的R数据可视化案例文档,目前内容包含公众号(2023+2024)的绘图文档,「已经更新上传了150+案例文档」,每个案例都附有相应的数据和代码,并配有对应的注释文档,方便大家学习和参考。
❞
购买方式
「淘宝店铺-R语言数据分析指南」下单购买「R数据可视化案例文档」持续更新中
淘宝店铺

「2024更新的绘图内容同时包含数据+代码+markdown注释文档+文档清单」
2024年更新案例












加载R包
library(tidyverse)
library(readxl)
library(ggpubr)
library(rstatix)
R包版本
other attached packages:
[1] rstatix_0.7.2 ggpubr_0.6.0 readxl_1.4.3 lubridate_1.9.3 forcats_1.0.0 stringr_1.5.1 dplyr_1.1.4 purrr_1.0.2
[9] readr_2.1.5 tidyr_1.3.1 tibble_3.2.1 ggplot2_3.5.0 tidyverse_2.0.0
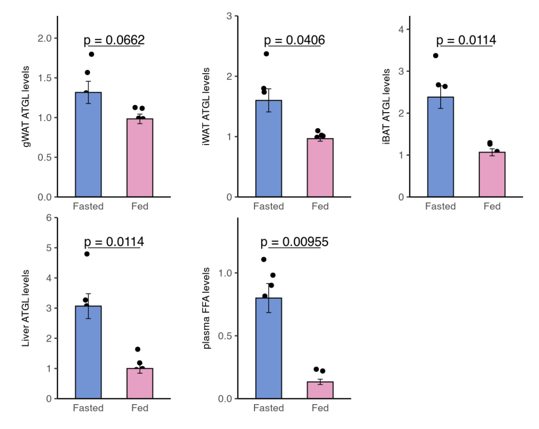
导入数据
df <- read_excel("data.xlsx") %>% pivot_longer(-type) %>%
mutate(value=round(value,digits = 1))
df_p_val <- df %>% group_by(type) %>%
t_test(value ~name) %>%
adjust_pvalue(p.col="p") %>%
add_significance(p.col="p.adj")
df %>% ggplot(.,aes(name,value)) +
geom_jitter(width = 0.1)+
stat_summary(aes(fill=name),
fun="mean",geom="bar",size=0.4,width = 0.5,color="black",
position = position_dodge(0.5))+
stat_summary(aes(fill=name),
fun.data ="mean_se",geom="errorbar",width=0.1,size=0.3,
position = position_dodge(0.5))+
scale_fill_manual(values = c("#7294D4","#E6A0C4"))+
labs(x=NULL,y=NULL)+
theme(legend.position = "none",
axis.ticks.x=element_blank(),
panel.background = element_blank(),
plot.background = element_blank(),
plot.margin =margin(0.5,0.5,0.5,0.5,unit="cm"))

