欢迎关注R语言数据分析指南
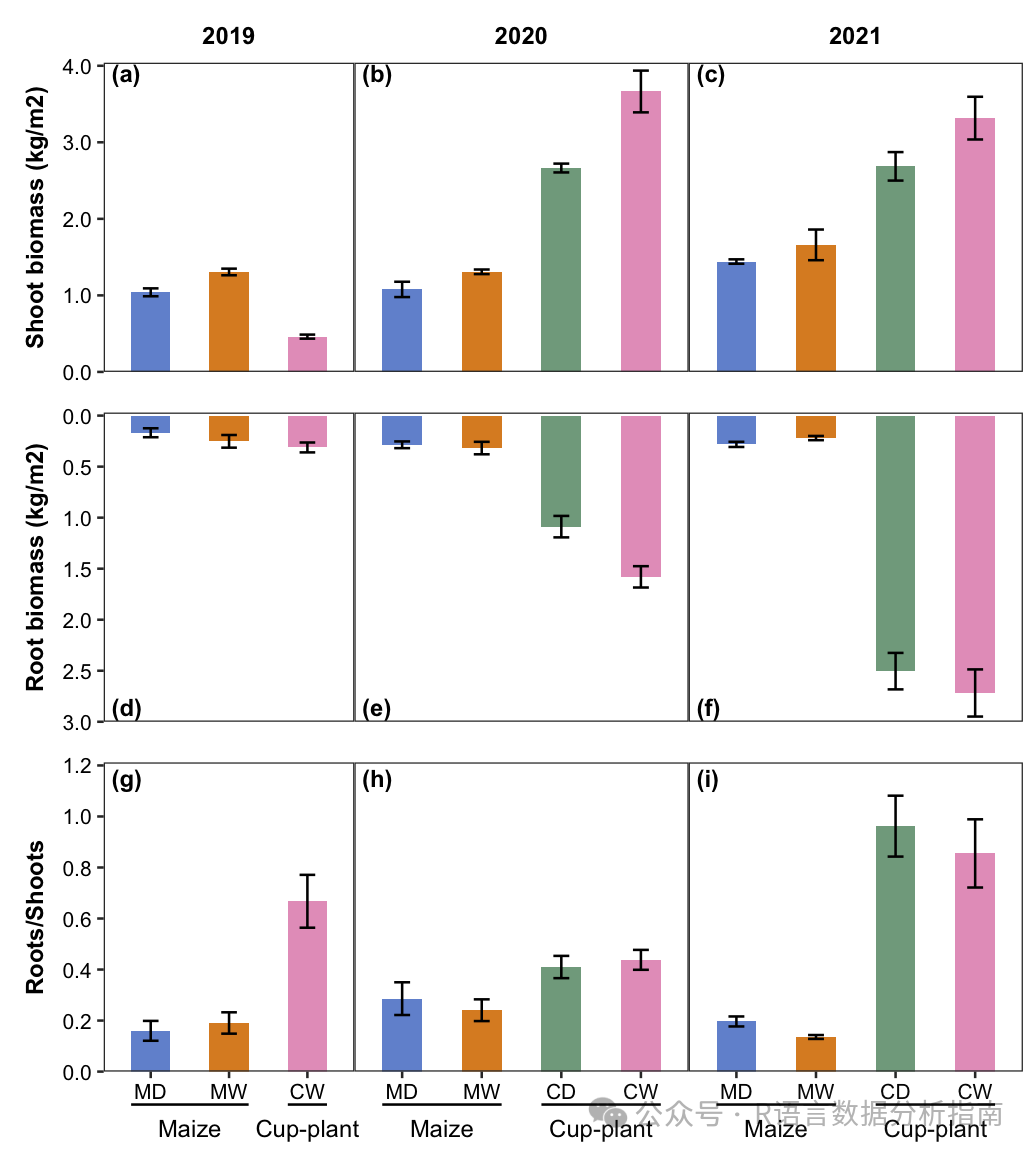
❝本节就来介绍Global Change Biology Bioenergy 论文中的一个对初学者进阶非常有帮助的图形,数据来源于论文中的Figure1,小编根据个人对数据的理解来进行处理绘图与原文有所出入,只做绘图展示,仅供参考,具体的图形介绍请参考论文。数据+详细代码稍后会上传到交流群内,购买过小编绘图文档的朋友可在所加的交流群内获取下载,有需要的朋友可关注文末介绍购买小编的R绘图文档。购买前请咨询,零基础不要买。
论文
Moderate Drought Constrains Crop Growth Without Altering Soil Organic Carbon Dynamics in Perennial Cup-Plant and Silage Maize
https://onlinelibrary.wiley.com/doi/full/10.1111/gcbb.70007?campaign=woletoc
论文原图


结果图
图形解读
❝该图看起来简单较为基础,但是仔细一看绘制的细节非常之多,具体来看主要包括以下几点。
1.对第二行的图形进行倒置
2.分面内添加标签
3.自定义分面的Y轴刻度
4.添加X轴分组线
除此之外还有不少细节需要调整,因此此图可以作为一个进行学习非常好的案例。由于绘图代码非常多,且统计分析有按年份分为单因素与多因素,因此此次先只介绍绘图细节,方差分析的结果后期在介绍。
关注下方公众号下回更新不迷路
购买介绍
❝本节介绍到此结束,有需要学习R数据可视化的朋友欢迎到淘宝店铺:R语言数据分析指南,购买小编的R语言可视化文档(2024版),购买将赠送2023年的绘图文档内容。目前此文档(2023+2024)已经更新上传200案例文档,每个案例都附有相应的数据和代码,并配有对应的注释文档,方便大家学习和参考。
2024更新的绘图内容将同时包含数据+代码+注释文档+文档清单,2023无目录仅有数据文件夹,小编只分享案例文档,不额外回答问题,无答疑服务,零基础不推荐买。
案例特点
所选案例图均属于个性化分析图表完全适用于论文发表,内容异常丰富两年累计发布案例图200+,2024年6月起提供html版注释文档更加直观易学。文档累计上千人次购买拥有良好的社群交流体验。R代码结构清晰易懂,为防止中文乱码提供单独的注释文档

R代码结构清晰易懂,为防止中文乱码2024年6月起提供单独html注释文档
群友精彩评论
淘宝店铺

2024年已更新案例图展示













































2023年案例图展示











