今天这篇文章绝对的干货,当然好文配好书。在大家感受这篇文章的同时,文末我会为大家赠送6本崔庆才大佬的这本书《Python 3网络爬虫开发实战》。


1.研究背景
用户流失预测可以降低营销成本。老生常谈,新客户开发成本是老客户维护成本的5倍。
2.提出问题
3.数据集描述
customerID :用户IDgender:性别(Female & Male)SeniorCitizen :老年人(1表示是,0表示不是)Partner :是否有配偶(Yes or No)Dependents :是否经济独立(Yes or No)tenure :客户的职位(0-72,共73个职位)
PhoneService :是否开通电话服务业务(Yes or No)MultipleLines :是否开通了多线业务(Yes 、No or No phoneservice 三种)InternetService :是否开通互联网服务(No, DSL数字网络,fiber optic光纤网络 三种)OnlineSecurity :是否开通网络安全服务(Yes,No,No internetserive 三种)OnlineBackup :是否开通在线备份业务(Yes,No,No internetserive 三种)DeviceProtection :是否开通了设备保护业务(Yes,No,No internetserive 三种)TechSupport :是否开通了技术支持服务(Yes,No,No internetserive 三种)StreamingTV :是否开通网络电视(Yes,No,No internetserive 三种)StreamingMovies :是否开通网络电影(Yes,No,No internetserive 三种)Contract :签订合同方式 (按月,一年,两年)PaperlessBilling :是否开通电子账单(Yes or No)PaymentMethod :付款方式(bank transfer,credit card,electronic check,mailed check)MonthlyCharges :月费用TotalCharges :总费用
4.分析思路
分析视角是分析方法的灵魂。
分析视角只有四种:
-
对比视角 -
分类视角 -
相关视角 -
描述视角
业务需求拆解成指标,接下来只需要针对每个指标进行分析视角四选一即可。
-
哪些属性的用户比较容易流失? -
哪些行为的用户比较容易流失?
-
数值型数据:均值比较 -
分类型数据:频数分布比较(交叉分析)
权重问题属于分类视角,故我们可以采用分类模型,要用哪个分类模型呢?不知道。可以全部采用,看模型精度得分,然后选得分最高的模型进行进一步预测。
-
Random Forest 随机森林 -
SVC 支持向量机 -
LogisticRegression 逻辑回归 -
KNN 近邻算法 -
Naive Bayes 朴素贝叶斯 -
Decision Tree 决策树 -
AdaBoost -
GradientBoosting -
XGB -
CatBoost
5.分析结论及运营建议
5.1 分析结论
统计分析和XGB算法输出特征重要性得出流失客户有以下特征(依特征重要性从大到小排列):
-
tenure :1-5号职位的用户比较容易流失 -
PaymentMethod :使用 电子支票支付的人 -
MonthlyCharges 、TotalCharges : 总费用在2281.92元以下,月费用在64.76元以上的客户比较容易流失 -
PaperlessBilling : 开通电子账单 -
Partner : 单身 -
OnlineBackup : 没开通 在线备份业务 -
InternetService :开通了 Fiber optic 光纤网络 -
TechSupport :没开通“技术支持服务” -
DeviceProtection :没开通 设备保护业务 -
OnlineSecurity :没开通 网络安全服务 -
Contract : 按月签订合同方式 -
Dependents :无经济独立 -
SeniorCitizen :青年人 -
TotalCharges :总费用在2281.92元以下,月费用在64.76元以上的客户比较容易流失
5.2 运营建议
-
增加用户的沉没成本(损失厌恶) -
会员等级 -
积分制 -
充值赠送 -
满减券 -
其他增值服务 -
培养用户的条件反射(习惯) -
会员日 -
定期用户召回 -
签到 -
每日定时抽奖 -
小游戏
电子账单解锁新权益
-
现象:“开通电子账单”的人反而容易流失。 -
基本假设:价格敏感型客户。电子账单,让客户理性消费。 -
建议:让“电子账单”变成一项“福利。跟连锁便利店,联名发"商品满减券",每月的账单时间,就将"商品满减券“和账单一起推送过去。文案:您上月消费了XX元,解锁了xx会员权益。 -
底层规律:增加沉没成本。
“单身用户”尊享亲情网
-
现象:“单身用户”容易流失。 -
基本假设:社交欲望低。 -
建议:一个单身用户拥有建立3个人以内的“亲情网”的权益。 -
底层规律:增加沉没成本。
推广“在线备份、设备保护、技术支持、网络保护”等增值服务。
6.数据清洗
6.1 导入模块
6.1.1 数据处理
import pandas as pd
import numpy as np
6.1.2 可视化
import matplotlib.pyplot as plt
import seaborn as sns
sns.set(style='darkgrid',font_scale=1.3)
plt.rcParams['font.family']='SimHei'
plt.rcParams['axes.unicode_minus']=False
6.1.3 特征工程
import sklearn
from sklearn import preprocessing #数据预处理模块
from sklearn.preprocessing import LabelEncoder #编码转换
from sklearn.preprocessing import StandardScaler #归一化
from sklearn.model_selection import StratifiedShuffleSplit #分层抽样
from sklearn.model_selection import train_test_split #数据分区
from sklearn.decomposition import PCA #主成分分析 (降维)
6.1.4 分类算法
from sklearn.ensemble import RandomForestClassifier #随机森林
from sklearn.svm import SVC,LinearSVC #支持向量机
from sklearn.linear_model import LogisticRegression #逻辑回归
from sklearn.neighbors import KNeighborsClassifier #KNN算法
from sklearn.cluster import KMeans #K-Means 聚类算法
from sklearn.naive_bayes import GaussianNB #朴素贝叶斯
from sklearn.tree import DecisionTreeClassifier #决策树
6.1.5 分类算法--集成学习
import xgboost as xgb
from xgboost import XGBClassifier
from catboost import CatBoostClassifier
from sklearn.ensemble import AdaBoostClassifier
from sklearn.ensemble import GradientBoostingClassifier
6.1.6 模型评估
from sklearn.metrics import classification_report,precision_score,recall_score,f1_score #分类报告
from sklearn.metrics import confusion_matrix #混淆矩阵
from sklearn.metrics import silhouette_score #轮廓系数(评价k-mean聚类效果)
from sklearn.model_selection import GridSearchCV #交叉验证
from sklearn.metrics import make_scorer
from sklearn.ensemble import VotingClassifier #投票
6.1.7 忽略警告
import warnings
warnings.filterwarnings('ignore')
6.2 读取数据
df=pd.read_csv(r'C:\Users\Think\Desktop\刻意练习数据\电信数据集\Customer-Churn.csv',header=0)
#预览数据
df.head()
#查看数据大小
df.shape
#查看数据数据及分布
df.describe()
spyder编辑器,下图是这个编辑器的界面。编程过程中,有赋值变量的操作,该编辑器都会在右上角呈现,双击一下,就可以像在Execel上查看数据,非常方便。


6.3 数据清洗
6.3.1 缺失值处理
#查看缺失值
df.isnull().sum()
float 类型,需再次查看缺失值。

6.3.2 重复值处理
#查看重复值
df.duplicated().sum()

6.3.3 数值类型转换
#查看数据类型
df.info()

TotalCharages总费用应该跟MonthlvCharges是同一个数据类型(float64)。故需将TotalCharages由object转换成float64,且需要再次查看缺失值。
#总费用 TotalCharges 该列的数据类型应是float64,不是object
# df['TotalCharges'].astype('float64')
# 此处用“astype”转化数据类型报错 “could not convert string to float”
#改用强制转化 convert_numeric=True
df['TotalCharges']=df['TotalCharges'].convert_objects(convert_numeric=True)
df['TotalCharges'].dtype


-
分类型数据:众数填充 -
数值型数据:正态分布,均值/中位数填充;偏态分布,中位数填充。
#分别作直方图:全部客户类型、流失客户类型、留存客户类型
plt.figure(figsize=(14,5))
plt.subplot(1,3,1)
plt.title('全部客户的总付费直方图')
sns.distplot(df['TotalCharges'].dropna())
plt.subplot(1,3,2)
plt.title('流失客户的总付费直方图')
sns.distplot(df[df['Churn']=='Yes']['TotalCharges'].dropna())
plt.subplot(1,3,3)
plt.title('留存客户的总付费直方图')
sns.distplot(df[df['Churn']=='No']['TotalCharges'].dropna())

中位数填充。
df.fillna({'TotalCharges':df['TotalCharges'].median()},inplace=True)
#再次确认是否还有空值
df.isnull().sum()

6.4 查看样本分布
df['Churn'].replace(to_replace = 'Yes', value = 1,inplace = True)
df['Churn'].replace(to_replace = 'No', value = 0,inplace = True)
df['Churn']=df['Churn'].map({'Yes':1,'No':0})
df['Churn'].head()

churn_value=df["Churn"].value_counts()
labels=df["Churn"].value_counts().index
plt.figure(figsize=(7,7))
plt.pie(churn_value,labels=labels,colors=["b","w"], explode=(0.1,0),autopct='%1.1f%%', shadow=True)
plt.title("流失客户占比高达26.5%")
plt.show()

-
分层抽样 -
过抽样 -
欠抽样
7.特征选择
feature=df.iloc[:,1:20]
7.1 整数编码
#重新编码
corr_df = feature.apply(lambda x: pd.factorize(x)[0])
corr_df.head()
#相关性矩阵
corr=corr_df.corr()
corr

#绘制热力图观察变量之间的相关性强弱
plt.figure(figsize=(15,12))
ax = sns.heatmap(corr, xticklabels=corr.columns, yticklabels=corr.columns,
linewidths=0.2, cmap="RdYlGn",annot=True)
plt.title("Correlation between variables")

7.2 独热编码
df_onehot = pd.get_dummies(df.iloc[:,1:21])
df_onehot.head()

plt.figure(figsize=(15,6))
df_onehot.corr()['Churn'].sort_values(ascending=False).plot(kind='bar')
plt.title('Correlation between Churn and variables ')

kf_var=list(df.columns[2:5])
for var in list(df.columns[7:18]):
kf_var.append(var)
print('kf_var=',kf_var)

8.统计分析
8.1 频数分布比较
8.1.1 卡方检验
#分组间确实是有显著性差异,频数比较的结论才有可信度,故需进行”卡方检验“
from scipy.stats import chi2_contingency #统计分析 卡方检验
#自定义卡方检验函数
def KF(x):
df1=pd.crosstab(df['Churn'],df[x])
li1=list(df1.iloc[0,:])
li2=list(df1.iloc[1,:])
kf_data=np.array([li1,li2])
kf=chi2_contingency(kf_data)
if kf[1]<0.05:
print('Churn by {} 的卡方临界值是{:.2f},小于0.05,表明{}组间有显著性差异,可进行【交叉分析】'.format(x,kf[1],x),'\n')
else:
print('Churn by {} 的卡方临界值是{:.2f},大于0.05,表明{}组间无显著性差异,不可进行交叉分析'.format(x,kf[1],x),'\n')
#对 kf_var进行卡方检验
print('kf_var的卡方检验结果如下:','\n')
print(list(map(KF, kf_var)))
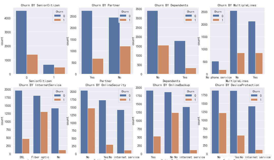
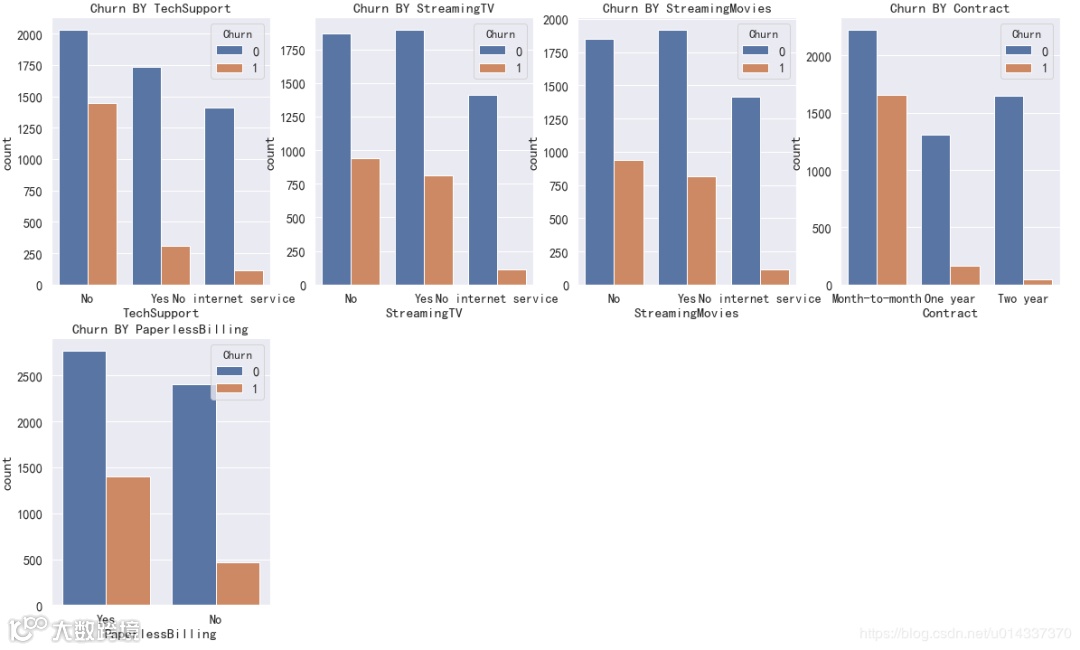
8.1.2 柱形图
plt.figure(figsize=(20,25))
a=0
for k in kf_var:
a=a+1
plt.subplot(4,4,a)
plt.title('Churn BY '+ k)
sns.countplot(x=k,hue='Churn',data=df)


plt.xticks(rotation=45)
sns.countplot(x='PaymentMethod',hue='Churn',data=df)

8.1.3 交叉分析
print('ka_var列表中的维度与Churn交叉分析结果如下:','\n')
for i in kf_var:
print('................Churn BY {}...............'.format(i))
print(pd.crosstab(df['Churn'],df[i],normalize=0),'\n') #交叉分析,同行百分比














8.2 均值比较
8.2.0 齐性检验,方差分析
#自定义齐性检验 & 方差分析 函数
def ANOVA(x):
li_index=list(df['Churn'].value_counts().keys())
args=[]
for i in li_index:
args.append(df[df['Churn']==i][x])
w,p=stats.levene(*args) #齐性检验
if p<0.05:
print('警告:Churn BY {}的P值为{:.2f},小于0.05,表明齐性检验不通过,不可作方差分析'.format(x,p),'\n')
else:
f,p_value=stats.f_oneway(*args) #方差分析
print('Churn BY {} 的f值是{},p_value值是{}'.format(x,f,p_value),'\n')
if p_value<0.05:
print('Churn BY {}的均值有显著性差异,可进行均值比较'.format(x),'\n')
else:
print('Churn BY {}的均值无显著性差异,不可进行均值比较'.format(x),'\n')
print('MonthlyCharges、TotalCharges的齐性检验 和方差分析结果如下:','\n')
ANOVA('MonthlyCharges')
ANOVA('TotalCharges')
8.3 总结
-
SeniorCitizen:青年人 -
Partner :单身 -
Dependents :无经济独立 -
InternetService:开通了 “Fiber optic 光纤网络” -
OnlineSecurity:没开通“网络安全服务” -
OnlineBackup:没开通“在线备份业务” -
DeviceProtection:没开通通了“设备保护业务 -
TechSupport:没开通“技术支持服务” -
Contract:“按月”签订合同方式 -
PaperlessBilling:开通电子账单 -
PaymentMethod:使用“电子支票”支付的人
9.特征工程
9.1 提取特征
churn_var=df.iloc[:,2:20]
churn_var.drop("PhoneService",axis=1, inplace=True)
churn_var.head()

9.2 处理“量纲差异大”

-
标准化 -
离散化
9.2.1 标准化
scaler = StandardScaler(copy=False)
scaler.fit_transform(churn_var[['MonthlyCharges','TotalCharges']]) #fit_transform拟合数据
churn_var[['MonthlyCharges','TotalCharges']]=scaler.transform(churn_var[['MonthlyCharges','TotalCharges']]) #transform标准化
print(churn_var[['MonthlyCharges','TotalCharges']].head() )#查看拟合结果

9.2.2 特征离散化
#查看'MonthlyCharges'列的4分位
churn_var['MonthlyCharges'].describe()

#用四分位数进行离散
churn_var['MonthlyCharges']=pd.qcut(churn_var['MonthlyCharges'],4,labels=['1','2','3','4'])
churn_var['MonthlyCharges'].head()

#查看'TotalCharges'列的4分位
churn_var['TotalCharges'].describe()

#用四分位数进行离散
churn_var['TotalCharges']=pd.qcut(churn_var['TotalCharges'],4,labels=['1','2','3','4'])
churn_var['TotalCharges'].head()

9.3 分类数据转换成“整数编码”
9.3.1 查看churn_var中分类变量的label(标签)
#自定义函数获取分类变量中的label
def Label(x):
print(x,"--" ,churn_var[x].unique())
#筛选出数据类型为“object”的数据点
df_object=churn_var.select_dtypes(['object'])
print(list(map(Label,df_object)))


churn_var.replace(to_replace='No internet service',value='No',inplace=True)
churn_var.replace(to_replace='No phone service',value='No',inplace=True)
df_object=churn_var.select_dtypes(['object'])
print(list(map(Label,df_object.columns)))

9.3.2 整数编码
-
sklearn中的LabelEncoder() -
pandas中的factorize 此处选用 LabelEncoder()
def labelencode(x):
churn_var[x] = LabelEncoder().fit_transform(churn_var[x])
for i in range(0,len(df_object.columns)):
labelencode(df_object.columns[i])
print(list(map(Label,df_object.columns)))

9.4 处理“样本不均衡”
x=churn_var
y=df['Churn'].values
print('抽样前的数据特征',x.shape)
print('抽样前的数据标签',y.shape)
-
分层抽样 -
过抽样 -
欠抽样
sss=StratifiedShuffleSplit(n_splits=5, test_size=0.2, random_state=0)
print(sss)
print("训练数据和测试数据被分成的组数:",sss.get_n_splits(x,y))
# 分拆训练集和测试集
for train_index, test_index in sss.split(x, y):
print("train:", train_index, "test:", test_index)
x_train,x_test=x.iloc[train_index], x.iloc[test_index]
y_train,y_test=y[train_index], y[test_index]
from imblearn.over_sampling import SMOTE
model_smote=SMOTE()
x,y=model_smote.fit_sample(x,y)
x=pd.DataFrame(x,columns=churn_var.columns)
#分拆数据集:训练集 和 测试集
x_train,x_test,y_train,y_test=train_test_split(x,y,test_size=0.3,random_state=0)
print('过抽样数据特征:', x.shape,
'训练数据特征:',x_train.shape,
'测试数据特征:',x_test.shape)
print('过抽样后数据标签:', y.shape,
' 训练数据标签:',y_train.shape,
' 测试数据标签:',y_test.shape)
10.数据建模
Classifiers=[["Random Forest",RandomForestClassifier()],
["Support Vector Machine",SVC()],
["LogisticRegression",LogisticRegression()],
["KNN",KNeighborsClassifier(n_neighbors=5)],
["Naive Bayes",GaussianNB()],
["Decision Tree",DecisionTreeClassifier()],
["AdaBoostClassifier", AdaBoostClassifier()],
["GradientBoostingClassifier", GradientBoostingClassifier()],
["XGB", XGBClassifier()],
["CatBoost", CatBoostClassifier(logging_level='Silent')]
]
Classify_result=[]
names=[]
prediction=[]
for name,classifier in Classifiers:
classifier=classifier
classifier.fit(x_train,y_train)
y_pred=classifier.predict(x_test)
recall=recall_score(y_test,y_pred)
precision=precision_score(y_test,y_pred)
f1score = f1_score(y_test, y_pred)
class_eva=pd.DataFrame([recall,precision,f1score])
Classify_result.append(class_eva)
name=pd.Series(name)
names.append(name)
y_pred=pd.Series(y_pred)
prediction.append(y_pred)
11.模型评估
names=pd.DataFrame(names)
names=names[0].tolist()
result=pd.concat(Classify_result,axis=1)
result.columns=names
result.index=["recall","precision","f1score"]
result


12.基于“XGB”模型输出特征重要性
-
CatBoost算法
model = CatBoostClassifier()
model.fit(x_train,y_train,eval_set=(x_test, y_test),plot=True)
#特征重要性可视化
catboost=pd.DataFrame(columns=['feature','feature_importance'])
catboost['feature']=model.feature_names_
catboost['feature_importance']=model.feature_importances_
catboost=catboost.sort_values('feature_importance',ascending=False) #降序排列
plt.figure(figsize=(10,10))
plt.title('特征重要性')
sns.barplot(x='feature_importance',y='feature',data=catboost)

model_xgb= XGBClassifier()
model_xgb.fit(x_train,y_train)
from xgboost import plot_importance
plot_importance(model_xgb,height=0.5)
plt.show()

-
第一重要特征:tenure
plt.figure(figsize=(20,4))
sns.countplot(x='tenure',hue='Churn',data=df)

-
第二重要特征:PaymentMethod
-
第三重要特征:MonthlyCharges 查看流失用户、留存用户在付费方面的偏好:'MonthlyCharges'、'TotalCharges',离散化后,可进行卡方检验,然后交叉分析。
-
卡方检验:'MonthlyCharges'、'TotalCharges'
df['MonthlyCharges-']=churn_var['MonthlyCharges']
df['TotalCharges-']=churn_var['TotalCharges']
print('kf_var的卡方检验结果如下:','\n')
KF('MonthlyCharges-')
KF('TotalCharges-')
-
交叉分析
for i in ['MonthlyCharges','TotalCharges']:
print('................Churn BY {}...............'.format(i))
print(pd.crosstab(df['Churn'],df[i],normalize=0),'\n')


print('MonthlyCharges的均值是{:.2f},TotalCharges的均值是{:.2f}'.format(df['MonthlyCharges'].mean(),df['TotalCharges'].mean()))
df_1=df[df['Churn']==1] #流失客户
df_0=df[df['Churn']==0] #留存客户
plt.figure(figsize=(10,10))
sns.scatterplot('MonthlyCharges','TotalCharges',hue='Churn', palette=plt.cm.RdYlBu,data=df_1)
plt.axhline(y=df['TotalCharges'].mean(),ls="-",c="k")
plt.axvline(x=df['MonthlyCharges'].mean(),ls="-",c="green")

plt.figure(figsize=(10,10))
sns.scatterplot('MonthlyCharges','TotalCharges',hue='Churn', palette=plt.cm.RdYlBu_r,data=df_0)
plt.axhline(y=df['TotalCharges'].mean(),ls="-",c="k")
plt.axvline(x=df['MonthlyCharges'].mean(),ls="-",c="green")

-
tenure:1-5号职位的用户比较容易流失 -
PaymentMethod:使用“电子支票”支付的人 -
MonthlyCharges 、TotalCharges:总费用在2281.92元以下,月费用在64.76元以上的客户比较容易流失 -
PaperlessBilling:开通电子账单 -
Partner:单身 -
OnlineBackup:没开通“在线备份业务” -
InternetService:开通了 “Fiber optic 光纤网络” -
TechSupport:没开通“技术支持服务” -
DeviceProtection:没开通通了“设备保护业务 -
OnlineSecurity:没开通“网络安全服务” -
Contract:“按月”签订合同方式 -
Dependents:无经济独立 -
SeniorCitizen :青年人 -
TotalCharges:总费用在2281.92元以下,月费用在64.76元以上的客户比较容易流失
赠书规则【仔细看】
推书环节来了,今天推荐的是《Python3网络爬虫开发实战》,由图灵出版社赞助。
这里为大家准备了3种参与方式,为了提高自身中奖概率,大家可以都参与一下。
给文本打赏任意金额后,扫描下方二维码,添加黄同学个人微信,领取抽奖码【记得备注:已打赏】
② 转发本文到朋友圈,然后留言点赞,排名前2赠送这本书;
转发本文到朋友圈,留言集赞,点赞排名前2朋友获奖。领奖的时候,需提供转发朋友圈截图。
③ 添加下方黄同学的私人微信,在朋友圈送2本;
扫描添加下方:黄同学微信,等候朋友圈参与抽奖哦。以后会在朋友圈多多送书,这样比较公平,避免某些人刷数据。【记得备注:朋友圈抽奖】

开奖时间:2021.6.26 早8:00

点击阅读原文关注猫哥~

