
大家好,我是黄同学🚀
本公众号原创系列文章【入口】 Python基础系列N讲
MySQL基础学习N讲
Numpy、Pandas、Matplotlib三剑客系列N讲
做数据分析,到底要不要掌握Linux系列N讲
知识对比系列N讲
Excel应该掌握这些
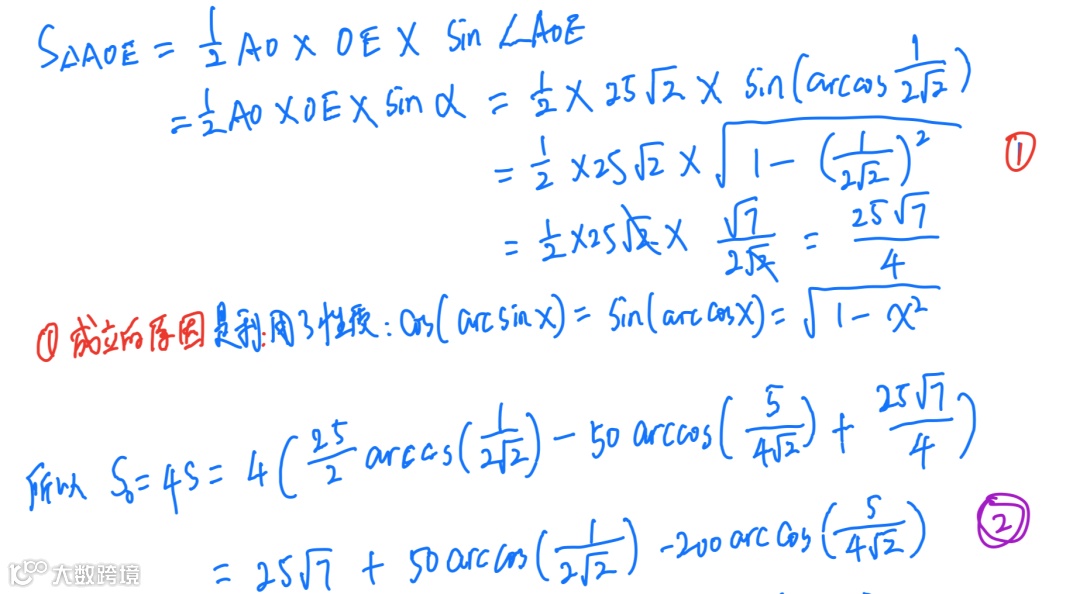
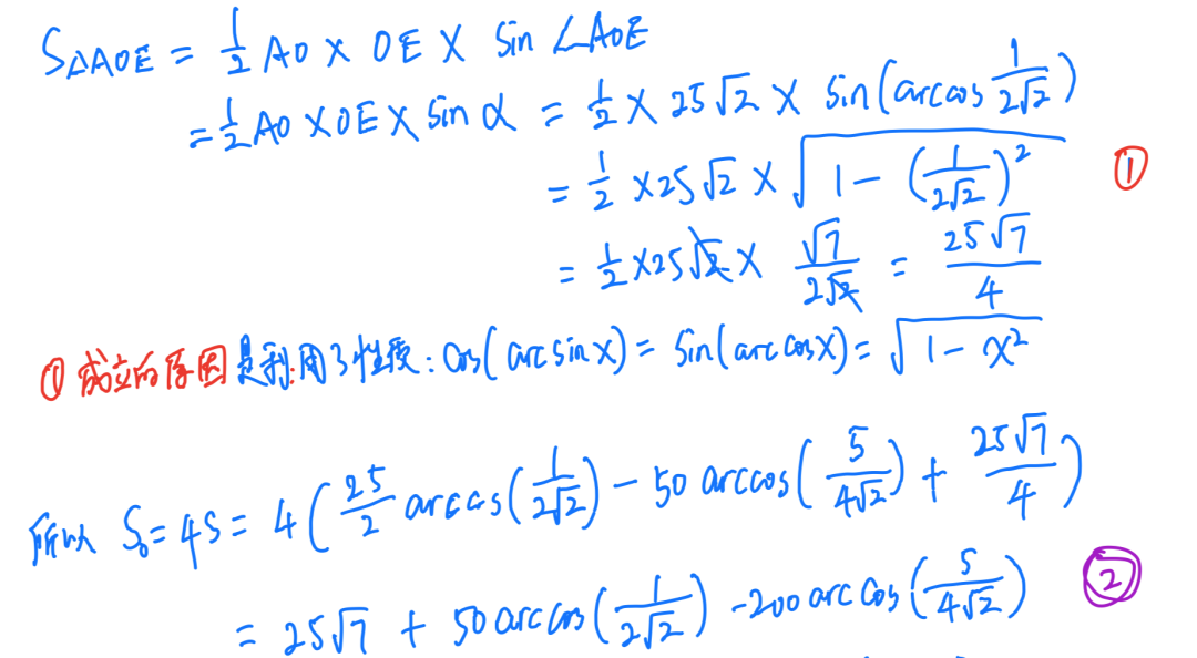
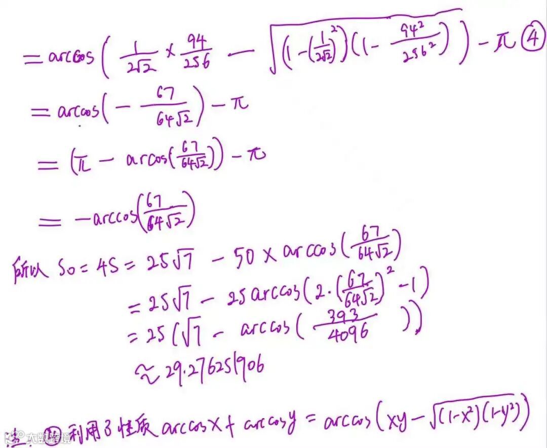
Python解一道江苏 <小升初> 数学题,如此变态,看不起来谁?









数据分析与统计学之美
大家好,我是黄同学🚀
本公众号原创系列文章【入口】 Python基础系列N讲
MySQL基础学习N讲
Numpy、Pandas、Matplotlib三剑客系列N讲
做数据分析,到底要不要掌握Linux系列N讲
知识对比系列N讲
Excel应该掌握这些
Python解一道江苏 <小升初> 数学题,如此变态,看不起来谁?








