搜索
首页
大数快讯
大数活动
服务超市
文章专题
出海平台
流量密码
出海蓝图
产业赛道
物流仓储
跨境支付
选品策略
实操手册
报告
跨企查
百科
导航
知识体系
工具箱
更多
找货源
跨境招聘
DeepSeek
首页
>
回归函数在人效数据分析中的应用
>
0
0
回归函数在人效数据分析中的应用
人力资源数据分析
2023-05-31
0
导读:在人效数据分析过程中,我们首先会梳理人效的关键指标,对人效指标进行定义和计算人力成本效能人力成本利润效率人
在人效数据分析过程中,我们首先会梳理人效的关键指标,对人效指标进行定义和计算
人力成本效能
人力成本利润效率
人力成本含量
人均劳动生产率
人均薪酬
有了人效的关键指标和人效关键指标对应的数据字段后,我们对这些指标数据进行人效的数据建模,在人效的数据建模过程中,我们采用了表单控件形式,通过折线图来构建模型
在人效数据模型中,我们要根据人效的折线图和各个维度的筛选来进行人效的分析,在分析的过程中,我们会用到统计学里的基础分析方法,叫回归分析。
回归分析的应用主要有两种
1、数据拟合度分析
2、数据预测
在数据拟合度分析中,我们以前讲薪酬的时候多次,通过对中位值进行回归分析,生成回归曲线,然后计算该曲线的回归系数,就可以分析判断各个职级和薪酬之间的拟合度,回归系数是
R²
,越接近1说明这个拟合度越高,说明公司内部的薪酬越合理,所以在薪酬的数据分析中,拟合度分析用的最多
数据预测被大量的应用在销售的领域,通过回归函数,来带入不同的X 计算不同的Y,一般大量应用在以时间维度为基础的数据预测中,比如根据历史数据预测明年的销量等。
在人效的数据分析中,因为我们有财务的数据,并且人效的数据模型是以时间为维度的,所以我们就可以用回归来预测财务数据
我们选择人力成本含量这个指标,在数据图里有三条直线代表三个指标数据
黑色线 = 人力成本含量
蓝色线 = 年度营业成本
红色线 = 年度人力成本
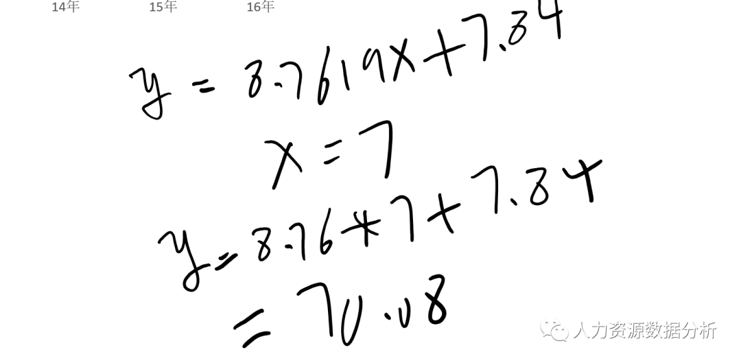
我们在做人效数据数据分析中,需要来预测第二年的营业成本数据,那我们对营业成本做线下的回归,生成回归折线,图中的 黑色直线 就是回归直线,再在选项里生成回归曲线的函数
y = 8.7619x + 7.8399
应用这个函数,我们只需要带入X就可以预测出第二年的营业成本数据
通过计算我们得到 2017你的营业成本是70.08亿,在结合人力成本含量的稳定性,就可以算出201年的人力成本
2017年人才成本预测 = 70.08*0.09 = 6.3 亿
通过对人效数据进行数据建模,并通过数据的分析计算,我们可以测算人力成本,同时也可以通过成本来计算人员的编制。
回归分析还可以在营收数据上进行预测计算,计算出第二年的公司年度营业收入预算,这个对销售部门来说是一个比较重要的数据,所以学好人力资源数据分析,能真正做好数据数据。
【声明】内容源于网络
0
0
人力资源数据分析
人力资源数据分析,助推HR数字化转型,助力HR高效运营
内容
1029
粉丝
0
立即咨询
关注
人力资源数据分析
人力资源数据分析,助推HR数字化转型,助力HR高效运营
总阅读
43
粉丝
0
内容
1.0k
立即咨询
关注