请点击上方
关注我们!




联邦家庭、儿童和社会发展部长杜克洛(Jean-Yves Duclos)7月3日宣布,从今年7月1日起,加拿大联邦政府大幅上调了居民养老金!

根据个人不同情况测算,一个没有其它收入的单身老人领取的OAS(老年金)加上GIS(低保补助),比去年11月能多领$1,728.84元。
杜克洛说:“加拿大政府致力于帮助加拿大人获得安全的退休福利。这就是为什么我们继续通过OAS和GIS增加支持,以便所有加拿大人能够安全而有尊严地退休。”

三级认证即BC省认证的律师认证,维多利亚省政府认证,中国领事馆的认证。
本公司有BC省认证的大牌西人律师和大牌华人律师
中国房产买卖授权委托书认证(人在加拿大,无论中国籍还是加拿大籍,本人不需亲自回中国,节省机票钱,委托国内人代办一切事项)
公司注册文件的认证(回中国注册公司,收购兼并,股权分配用)
同一身份关联认证(中国的中文名字,中国身份证号码和加拿大籍的英文名字,加拿大护照号码,关联在一起,系同样一个人的身份的认证)
持加拿大籍护照的认证(回中国处理房产等一切事项用)
持加拿大出生证的认证(回中国上学上户口用)
单身证明的认证(先去加拿大人口统计局办理婚姻检索证明,再来本公司办理单身声明书,证明是单身身份,或回中国结婚用)
放弃遗产继承权的声明书(父母一方或者双方去世,财产留给子女,子女不方便回中国用)
加拿大籍的各类学历认证(回中国找工作用)
死亡证认证(中国下葬报销费用用,继承子女处理房产用)
无犯罪记录证明的认证(回中国用)
加拿大重大疾病医疗的认证等等各类三级认证(回中国人寿保险报销用)
专业续枫叶卡,入籍填表
专业办理各类移民,各类签证(ICCRC资深持牌移民顾问律师团队)
电话:778-955-5918
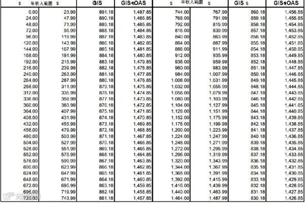
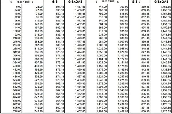
根据政府网站公布数据,2018年7月到9月,满额OAS能领到$596.67元,GIS最高可领到$891.18,两者加在一起是$1,487.85,也就是说如果一个单身老人它年收入少于$23.99元就可以最高领到$1,487.85元。
根据年收入金额,在领取满额老年金OAS 的情况下,GIS及OAS加GIS的数额。(政府网站)

(点击可放大观看)
OAS福利金在每季度根据通货膨胀率进行调整,以适应生活成本增加。老年金法案(The OAS Act)保证了在通货膨胀率下降的情况下老人福利金仍不会减少。而通货膨胀率上升时,老人福利金会相应上调。
2018年7月到9月,随着消费者物价指数的增加,老年金福利将增加1.2%。

根据个人情况老年金领取金额。(政府网站)
老年金(OAS)是加拿大政府的一种社会福利,它来源于税收,也就是说,你可以不需要任何工作或者贡献,就能申请老年金。老年金系统包括几种福利:OAS(老年金)、GIS(低保补助)、Allowance(配偶补助)。

一、老年金申领条件:
1. 65岁以上年龄的老人。
2. 加拿大公民或居民,以及其它政府认定OAS符合条件申领的居住身份。
3. 年满18岁后,在加拿大最少居住10年。
未满10年者,则没有领取OAS的资格;满40年者,可得到全额OAS;住满10年到40年者,则以40为基数计算相应的比例。比如18岁后在加拿大住满了10年,可申领的老人金为满额的25%(10/40)。
但如果你退休后在加拿大以外的国家生活,则需要年满18岁以后,在加拿大居住了至少20年的时间。所以如果有人希望退休后回中国长久生活,又希望享受加拿大这项福利,就要留意退休前在加拿大居住时间了。

二、低保补助领取条件
低保补助GIS(Guaranteed Income Supplement),实际上是为低收入的老年人设计的。
能够申请的条件:
1. 够资格领取老年金OAS;
2. 收入低于政府每年公布的一个数值。(取决于有无配偶及配偶领取的状况,最低收入数值在$18,096∼$43,392之间。)
根据报税信息,政府将每年审查老人领取低保补助的资格,如果仍然合格,就会自动更新,7月份政府会发出信息,告知领取者是否仍然有资格领取。
按照新规,2018年自动领取老年金的加拿大老年人,基于报税情况,也将自动申领低保补助。
简言之,合资格的低收入老年人,年届65岁零一个月开始,将能够自动获发老年金和低保补助福利。

三、配偶补助领取条件
申请人的年龄必须是在60—64岁之间(65岁以上可以领取养老金)。
年满18岁后,在加拿大最少居住10年;如果申请人已婚(合法婚姻或事实婚姻),则其配偶必须是基本老年金和低保补助领取者。
如果申请人是鳏夫或寡妇,则年龄必须是在60—64岁之间;
配偶津贴的数量与申请人的收入有关,收入增加,津贴便减少。
免责声明
文章内容不代表本微信公众号立场,对文章内容概不负责。
如有争议,请随时联系我们!
文章来源:加拿大家园


长按二维码,关注我们!

