点击上方蓝字,关注我们!
AIoT 架构
感知与交互
智能眼镜
YOLO v5 + OCR
智能盲杖
健康监测与环境感知
图像识别
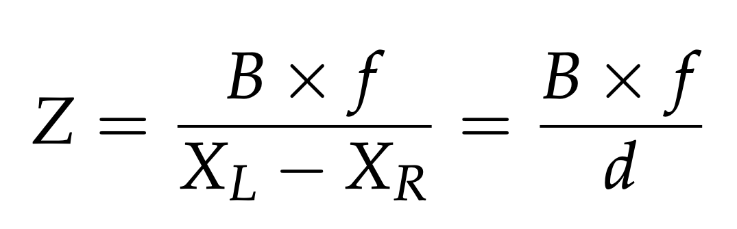
物体与距离
OCR
正确率接近 100%
健康监测
心率与体温
姿势监测
行走、上楼与下楼
万物互联
APP + 蓝牙
了解更多数据分析知识、与更多优秀的人一起进群交流请扫码

CDA数据分析师点击上方蓝字,关注我们!
AIoT 架构
感知与交互
智能眼镜
YOLO v5 + OCR
智能盲杖
健康监测与环境感知
图像识别
物体与距离
OCR
正确率接近 100%
健康监测
心率与体温
姿势监测
行走、上楼与下楼
万物互联
APP + 蓝牙
了解更多数据分析知识、与更多优秀的人一起进群交流请扫码
