如何通俗的理解伽马(gamma)函数
我为什么要在乎gamma函数?
使用 gamma函数定义了许多概率分布,例如伽马分布,Beta分布,狄利克雷分布,卡方分布和 t 分布等。
对于数据科学家,机器学习工程师,研究人员来说,gamma函数可能是一种最广泛使用的函数,因为它已在许多分布中使用。然后将这些分布用于贝叶斯推理,随机过程(例如排队模型),生成统计模型(例如潜在狄利克雷分配)和变分推理。因此,如果您很好地了解了gamma函数,您将对其中出现的许多应用程序有更好的了解!
1.为什么需要伽玛函数?
因为我们要泛化阶乘!
阶乘函数仅针对离散点(对于正整数-上图中的黑点)定义,但是我们希望连接黑点。我们想将阶乘函数扩展到所有复数。阶乘的简单公式
,不能直接用于小数值,因为它仅在x是整数时才有效。 因此,数学家一直在寻找...
[!question] 思考 什么样的函数将这些点平滑地连接起来,并为我们提供所有实数范围内的阶乘?”
然而,对于实数,他们找不到可以表示 的和、乘积、幂、指数或对数的有限组合!对于实数,直到...
2.欧拉发现了gamma函数
利用上式可以求出任意实值 的伽马函数值,假设您要计算 。如何求解上述积分?
你能可以手动计算 吗?也许可以用分部积分法?
试试看,如果发现有趣的方法,请告诉我!对我(以及迄今为止的许多其他人)来说,还没有快速简便的方法来手动评估分数的伽马函数。(如果你有兴趣手工求解,这里是一个很好的起点)。
好吧,那就别用分析法了。你能用程序实现这个从 0 到无穷大的积分吗?
您可以通过几种方法来实现。最常用的两种实现是 Stirling 近似 和Lanczos近似。
让我们用计算器来计算 。
我们得到了17.837。
正如我们所期望的,17.837介于 和 之间。 (当 是自然数时, 我们将很快证明这一点。)
阶乘只接受正整数,而 不同,我们可以输入任何实数/复数,包括负数。Gamma函数将黑点连接起来,很好地绘制了曲线。
[!note] Confusion-buster: 我们正在积分从0到无穷大的 (非 z)。 是一个被整合掉的辅助变量。 我们不是将 4.8 放入 ,而是将 4.8 放入 。
3. 伽马函数如何插值阶乘函数?
观察一下伽马函数,你会发现两点。
首先,就 而言,它绝对是一个递增函数。
其次,当 是一个自然数时, (我保证我们很快就会证明这一点!)。
因此,我们可以期待伽马函数连接阶乘。
伽马函数是如何形成现在的项 和 的?
我不知道欧拉的思维过程到底是怎样的,但他是发现自然数 e 的人,所以他一定做了很多将 e 与其他函数相乘的实验,从而找到了现在的形式。
4. Gamma函数的图形是什么样的?
当 变为无穷大∞时,第一项( )也变为无穷大∞,但是第二项( )变为零。
然后,伽玛函数会收敛到有限值吗?
我们可以利用 L'Hôpital 规则严格证明它的收敛性。不过,我们也可以轻松地看到它的收敛性。仔细想想,我们正在对多项式递增函数 和指数递减函数 的乘积进行积分。因为 的值比 的值下降得更快,所以伽马函数很有可能收敛并具有有限值。
让我们绘制每个图形,因为眼见为实。
乘 的图
让我们看一下 的情况。
图下绿色阴影区域从0到无穷大,
5.伽玛函数属性
如果您从这篇文章中删除一件事,应该是本节。
[!note] 性质 1 给定z> 1 或将其写为
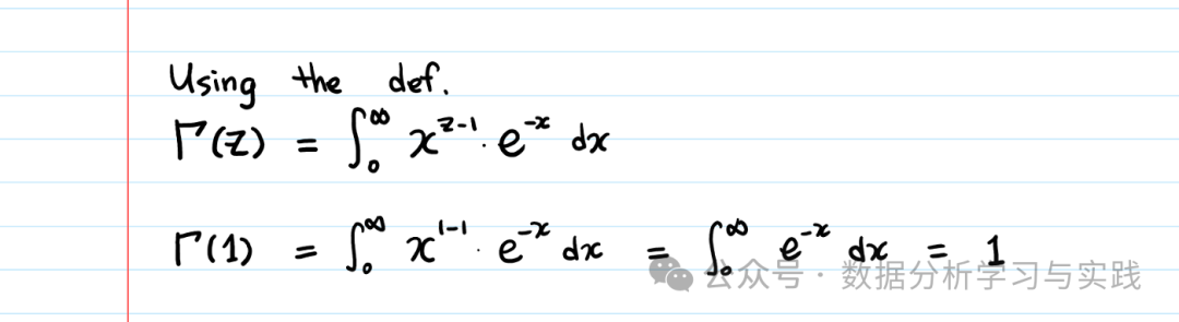
让我们使用部分集成和Gamma函数的定义来证明它.
[!note] 性质2 如果n是一个正整数
什么是 ?
因此,
您可能还已经看到表达式 而不是 。 这只是使右手边 ,而不是 我们所做的就是将 移 1。
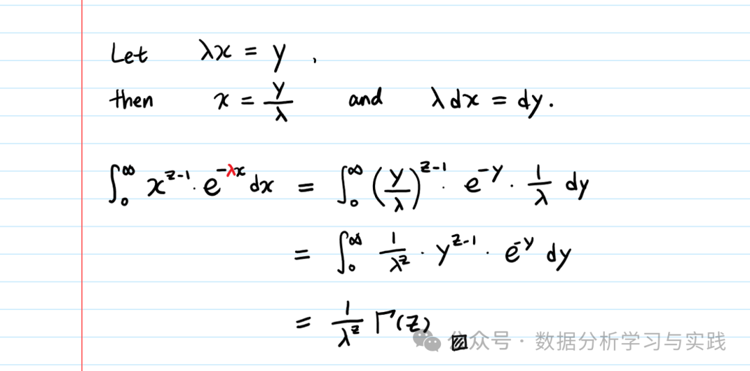
6. 使用Gamma函数的属性,显示Gamma分布的PDF积分为1。
快速回顾一下Gamma“分布”(不是Gamma“函数”!):Gamma分布。 证明如下:
给证明上瘾者: 让我们来证明上面的红色箭头。
我们将使用代换积分法。
问答:
[!question] 伽玛函数多大了? 很老。大约300年。(您是否正在研究将在300年后使用的东西?;) 有趣的旁注:欧拉(Euler)在64岁时失明,但是在失明后他完成了近一半作品。
-
一些有趣的价值:
许多有趣的方式来表明这一点:
你能证明这些吗?
-
这是快速查看Gamma函数图的实数。
伽马函数 用蓝色绘制,而 + 用绿色绘制。(请注意正整数处的交点,因为sin(πz)为零!)两者都是对非整数的阶乘分解的有效解析延续。
感谢阅读!

