Datawhale干货 译者:张峰,安徽工业大学,Datawhale成员

地址:https://github.com/dataprofessor/infographic
全文如下:
1. 数据集
列可以分解为X和Y,首先,X是几个类似术语的同义词,如特征、独立变量和输入变量。其次,Y也是几个术语的同义词,即类别标签、因变量和输出变量。

图1. 数据集的卡通插图
应该注意的是,一个可以用于监督学习的数据集(可以执行回归或分类)将同时包含X和Y,而一个可以用于无监督学习的数据集将只有X。
此外,如果Y包含定量值,那么数据集(由X和Y组成)可以用于回归任务,而如果Y包含定性值,那么数据集(由X和Y组成)可以用于分类任务。
2. 探索性数据分析(EDA)
进行探索性数据分析(EDA)是为了获得对数据的初步了解。在一个典型的数据科学项目中,我会做的第一件事就是通过执行EDA来 "盯住数据",以便更好地了解数据。
我通常使用的三大EDA方法包括:
描述性统计:平均数、中位数、模式、标准差。
数据可视化:热力图(辨别特征内部相关性)、箱形图(可视化群体差异)、散点图(可视化特征之间的相关性)、主成分分析(可视化数据集中呈现的聚类分布)等。
数据整形:对数据进行透视、分组、过滤等。

图2. NBA球员统计数据的箱形图示例

图3. NBA球员统计数据的相关热力图示例

图4. NBA球员统计数据的直方图示例

图5. NBA球员统计数据的散布图示例
3. 数据预处理
数据预处理(又称数据清理、数据整理或数据处理)是指对数据进行各种检查和审查的过程,以纠正缺失值、拼写错误、使数值正常化/标准化以使其具有可比性、转换数据(如对数转换)等问题。
正如上面的引言所说,数据的质量将对生成模型的质量产生很大的影响。因此,为了达到最高的模型质量,应该在数据预处理阶段花费大量精力。一般来说,数据预处理可以轻松地占到数据科学项目所花费时间的80%,而实际的模型建立阶段和后续的模型分析仅占到剩余的20%。
4. 数据分割
4.1 训练--测试集分割
接下来,利用训练集建立预测模型,然后将这种训练好的模型应用于测试集(即作为新的、未见过的数据)上进行预测。根据模型在测试集上的表现来选择最佳模型,为了获得最佳模型,还可以进行超参数优化。

图6. 训练—测试集分割示意图
4.2 训练--验证--测试集分割
另一种常见的数据分割方法是将数据分割成3部分。(1) 训练集,(2) 验证集和(3) 测试集。与上面解释的类似,训练集用于建立预测模型,同时对验证集进行评估,据此进行预测,可以进行模型调优(如超参数优化),并根据验证集的结果选择性能最好的模型。正如我们所看到的,类似于上面对测试集进行的操作,这里我们在验证集上做同样的操作。请注意,测试集不参与任何模型的建立和准备。因此,测试集可以真正充当新的、未知的数据。Google的《机器学习速成班》对这个话题进行了更深入的处理。

图7. 训练—验证—测试集分割示意图
4.3 交叉验证
例如,在5倍CV中,有1个折被省略,作为测试数据,而剩下的4个被集中起来,作为建立模型的训练数据。然后,将训练好的模型应用于上述遗漏的折(即测试数据)。这个过程反复进行,直到所有的折都有机会被留出作为测试数据。因此,我们将建立5个模型(即5个折中的每个折都被留出作为测试集),其中5个模型中的每个模型都包含相关的性能指标(我们将在接下来的部分讨论)。最后,度量(指标)值是基于5个模型计算出的平均性能。

图8. 交叉验证示意图
在N等于数据样本数的情况下,我们称这种留一的交叉验证。在这种类型的CV中,每个数据样本代表一个折。例如,如果N等于30,那么就有30个折(每个折有1个样本)。在任何其他N折CV中,1个折点被留出作为测试集,而剩下的29个折点被用来建立模型。接下来,将建立的模型应用于对留出的折进行预测。与之前一样,这个过程反复进行,共30次;计算30个模型的平均性能,并将其作为CV性能指标。
5. 模型建立
现在,有趣的部分来了,我们终于可以使用精心准备的数据来建立模型了。根据目标变量(通常称为Y变量)的数据类型(定性或定量),我们要建立一个分类(如果Y是定性的)或回归(如果Y是定量的)模型。
5.1 学习算法
机器学习算法可以大致分为以下三种类型之一:
监督学习:是一种机器学习任务,建立输入X和输出Y变量之间的数学(映射)关系。这样的X、Y对构成了用于建立模型的标签数据,以便学习如何从输入中预测输出。
无监督学习:是一种只利用输入X变量的机器学习任务。这种 X 变量是未标记的数据,学习算法在建模时使用的是数据的固有结构。
强化学习:是一种决定下一步行动方案的机器学习任务,它通过试错学习来实现这一目标,努力使回报最大化。
5.2 参数调优
超参数本质上是机器学习算法的参数,直接影响学习过程和预测性能。由于没有 "一刀切 "的超参数设置,可以普遍适用于所有数据集,因此需要进行超参数优化(也称为超参数调整或模型调整)。
地址:https://pubs.acs.org/doi/10.1021/ci500344v
5.3 特征选择
顾名思义,特征选择从字面上看就是从最初的大量特征中选择一个特征子集的过程。除了实现高精度的模型外,机器学习模型构建最重要的一个方面是获得可操作的见解,为了实现这一目标,能够从大量的特征中选择出重要的特征子集非常重要。
我们自己的研究小组也在对醛糖还原酶抑制剂的定量结构—活性关系建模的研究中,探索了利用蒙特卡洛模拟进行特征选择的方法(Nantasenamat等,2014)。
在《遗传算法搜索空间拼接粒子群优化作为通用优化器》的工作中,我们还设计了一种基于结合两种流行的进化算法即遗传算法和粒子群算法的新型特征选择方法(Li等,2013)。
地址:https://doi.org/10.1016/j.chemolab.2013.08.009

"原搜索空间(a)x∈[-500,0]在每个维度上以2的固定间隔拼接成子空间(图中一个维度等于一个横轴)。这样就得到了4个子空间(b-e),其中x在每个维度上的范围是原始空间的一半。GA的每一个字符串都会编码一个子空间的索引。然后,GA启发式地选择一个子空间(e),并在那里启动PSO(粒子显示为红点)。PSO搜索子空间的全局最小值,最好的粒子适应性作为编码该子空间索引的GA字符串的适应性。最后,GA进行进化,选择一个新的子空间进行探索。整个过程重复进行,直到达到满意的误差水平。"
6. 机器学习任务
在监督学习中,两个常见的机器学习任务包括分类和回归。
6.1 分类
一个训练有素的分类模型将一组变量(定量或定性)作为输入,并预测输出的类标签(定性)。下图是由不同颜色和标签表示的三个类。每一个小的彩色球体代表一个数据样本。

三类数据样本在二维中的显示。上图显示的是数据样本的假设分布。这种可视化图可以通过执行PCA分析并显示前两个主成分(PC)来创建;或者也可以选择两个变量的简单散点图可视化。
6.1.1 样例数据集
以企鹅数据集(Penguins Dataset)为例(最近提出作为大量使用的Iris数据集的替代数据集),我们将定量(喙长、喙深、鳍长和身体质量)和定性(性别和岛屿)特征作为输入,这些特征唯一地描述了企鹅的特征,并将其归入三个物种类别标签(Adelie、Chinstrap或Gentoo)之一。该数据集由344行和8列组成。之前的分析显示,该数据集包含333个完整的案例,其中11个不完整的案例中出现了19个缺失值。

图11. 三个企鹅物种的类别标签(Chinstrap、Gentoo和Adelie)
6.1.2 性能指标
如何知道我们的模型表现好或坏?答案是使用性能指标,一些常见的评估分类性能的指标包括准确率(Ac)、灵敏度(Sn)、特异性(Sp)和马太相关系数(MCC)。




其中TP、TN、FP和FN分别表示真阳性、真阴性、假阳性和假阴性的实例。应该注意的是,MCC的范围从-1到1,其中MCC为-1表示最坏的可能预测,而值为1表示最好的可能预测方案。此外,MCC为0表示随机预测。
6.2 回归

图12. 实际值与预测值的简单散点图
6.2.1 样例数据集
在14列中,前13个变量被用作输入变量,而房价中位数(medv)被用作输出变量。可以看出,所有14个变量都包含了量化的数值,因此适合进行回归分析。我还在YouTube上做了一个逐步演示如何用Python建立线性回归模型的视频。
在视频中,我首先向大家展示了如何读取波士顿房屋数据集,将数据分离为X和Y矩阵,进行80/20的数据拆分,利用80%的子集建立线性回归模型,并应用训练好的模型对20%的子集进行预测。最后显示了实际与预测medv值的性能指标和散点图。

图13. 测试集的实际medv值与预测medv值(20%子集)的散点图。
6.2.2 性能指标
对回归模型的性能进行评估,以评估拟合模型可以准确预测输入数据值的程度。
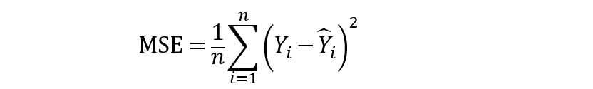
评估回归模型性能的常用指标是确定系数(R²)。

此外,均方误差(MSE)以及均方根误差(RMSE)也是衡量残差或预测误差的常用指标。

从上面的公式可以看出,MSE顾名思义是很容易计算的,取平方误差的平均值。此外,MSE的简单平方根可以得到RMSE。
7. 分类任务的直观说明
现在我们再来看看分类模型的整个过程。以企鹅数据集为例,我们可以看到,企鹅可以通过4个定量特征和2个定性特征来描述,然后将这些特征作为训练分类模型的输入。在训练模型的过程中,需要考虑的问题包括以下几点。
使用什么机器学习算法?
应该探索什么样的搜索空间进行超参数优化?
-
使用哪种数据分割方案?80/20分割还是60/20/20分割?还是10倍CV?
除了只进行分类建模,我们还可以进行主成分分析(PCA),这将只利用X(独立)变量来辨别数据的底层结构,并在这样做的过程中允许将固有的数据簇可视化(如下图所示为一个假设图,其中簇根据3种企鹅物种进行了颜色编码)。

图14. 建立一个分类模型的过程示意图
「完」

