导语:本次推送的是刘欢团队的第四项研究成果,发表在《自然气候变化》(Nature Climate Change),这也是博主最喜欢的一篇论文。该文通过构建了VoySEIM–GTEMS复合模型链,以创新的视角将全球航运排放分解为细化的贸易关联排放流,探究了国家对和贸易商品的碳排放贡献,并展示了贸易结构优化对于航运减排的巨大潜力。
摘要
航运减排的宏伟目标和机制设计的挑战需要新的方法来鼓励脱碳。在这里,我们构建了一个复合模型链,将全球国际航运排放解构为精细化贸易流,并提出与贸易相关的指标来衡量航运排放效率。2018 年国际海运贸易对航运二氧化碳排放量贡献了 746.2Tg,其中 17.2%来自于国家层面的千分之十的贸易流量。我们认为,如果由于外部受益人而将航运排放责任分配给双边贸易商,则存在潜在的不公平。但通过优化国际贸易格局,航运减排潜力巨大,最高可达目前总量的 **38%**。我们的综合建模系统可以作为基准工具,支持构建系统解决方案以及航运业和全球贸易网络共同应对气候变化。
背景
作为国际贸易和全球经济的支柱,海运承载了全球超过80%的贸易量。海运贸易每年排放数十亿吨的温室气体(GHG),相当于全球第六大排放国,这被认为是将全球变暖控制在两摄氏度以内的主要障碍。为此,国际海事组织(IMO)发布了《初步战略》以减少航运温室气体排放,目标是在2050年前(与2008年相比)至少减少50%的排放,并提供了一系列候选措施。然而,尽管已经有全球舰队能效提升计划,但仍然缺乏有效的减排机制和明确的实施路径。近年来,全球航运二氧化碳排放量依然居高不下。在商业惯性情景下,**预计2050年全球航运二氧化碳排放量将比2008年增加约10-30%**。许多研究表明,仅依靠全球集体船舶技术迭代和操作措施是不足以实现绝对减排的。一个有效而稳定的国际合作机制同样重要。目前,缺乏有效的减排措施和明确的实施路径来实现这些雄心勃勃的目标。
这种困境呼唤新视角,通过阐明船队行为和航运排放背后的商业驱动因素,增强对排放驱动因素的透明度,以倡导减排。航运排放减排机制已讨论了数十年。从联合国气候变化框架公约(UNFCCC)提出的航运排放责任分配的八种选择开始,许多努力已探讨了不同选项的合理性和正当性。不同的分配方案可能使各国承担截然不同的排放负担,目前没有一种方案在环境、法律和公平负担分享方面是有效的。这表明强制责任分配的不可行性和新机制构建的必要性。
鉴于国际贸易是航运排放的驱动力,必须建立海运排放与海上贸易及其背后驱动因素之间的细致关联,以形成长期有效的脱碳路径。近年来,一些宏观经济研究调查了与国际贸易相关的航运排放特征,表明对贸易驱动的航运排放分析的关注日益增加。然而,这些评估基于航运能效的经验参数,与实际船舶活动的关联较差。随着大数据时代的到来,基于船舶自动识别系统(AIS)观测的船舶活动开发的航运排放清单提高了准确性和分辨率,但这些评估大多与国际贸易联系不大。只有少数研究试图通过“自下而上”的评估将航运排放与贸易联系起来,如巴西与其贸易伙伴和美中双边贸易的案例。然而,这些方法用于有限的双边对无法直接扩展到全球范围,因为它们需要大量的基于航程的船舶货物信息,这些信息可能具有商业敏感性或无法获取。因此,在形成涉及所有全球双边贸易者的贸易关联航运排放的全面评估方面仍然存在技术挑战。
国际贸易相关的航运排放空间分布
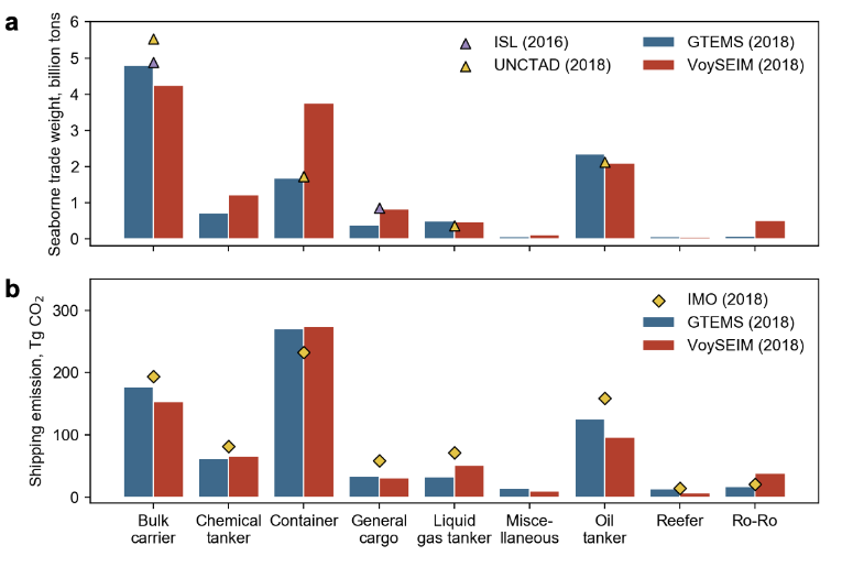
图1展示了VoySEIM和GTEMS模型生成的全球航运排放分布。VoySEIM基于每分钟频率的AIS信号评估约79万次OD航程排放,形成高分辨率全球排放清单(图1a)。每个航程的排放数据用于估算能效操作指标(EEOI, energy efficiency operational indicator),受船舶类型、载重吨、容量利用率等因素影响(补充讨论1和图2)。GTEMS模型则评估约120万全球双边贸易流的航运排放。2018年国际海运贸易排放量为746.2 Tg CO2,与VoySEIM的727.3 Tg以及IMO第四次GHG报告中的数据相当(补充表1)。模型显示赤道环流走廊上的高密度航运排放,尤其在东亚、东南亚、中东和欧洲水域。马六甲海峡附近航线的二氧化碳排放强度最高,达22.1 Gg NM-1(图1b)。
为了进一步解释贸易关联航运排放特征,引入了按重量计算的贸易排放效率指数(TEEI-W;gCO2 ton-1 NM-1),以显示所有运输商品单位距离的航运排放量。不同于描述每艘船舶单次航程的EEOI,TEEI-W从贸易角度展示了排放效率,考虑了双边贸易量和结构以及确定的船队规模和航程构成。数百万次航运航程具有不同的EEOIs,从数千个沿海港口出发,汇集在主要航线上,最终导致不同航线上航运排放强度和贸易排放效率的异质性(图1b)。
TEEI-W在欧洲最高,这里的运输结构中能源密集型船舶如集装箱船和滚装船占较大比例。相反,由于能源高效船舶如散货船的频繁交通,南半球航线的TEEI-W较低。尽管过去几年全球船队的总平均TEEI-W总体呈下降趋势,并预计将继续下降,但在过去的航运排放估算以及长期航运预测中,不同航线上的异质表现被忽视了。
全球航运贸易排放矩阵
GTEMS模型成功地在国家层面解释了与贸易关联的航运排放,克服了AIS模型中转运难题和无载航程的不确定性(补充图3)。
图2a展示了全球双边贸易流驱动的航运二氧化碳排放,矩阵中的每个条目揭示了单向贸易对的航运排放。在成千上万的国家级排放流中,前10大高排放流共同贡献了全球航运排放的17.2%,其中巴西-中国(5.4%)、澳大利亚-中国(3.4%)、美国-中国(1.6%)和中国-美国(1.3%)是矩阵中的显著高值条目。同时,前10大贸易流的全球排放比例约为其海上贸易总值贡献(9.4%)的两倍,而每个流在海上贸易值、重量和相关航运排放方面也显示了不同的贡献。这种差异表明了贸易发展带来的经济利益和对气候的负面影响在贸易者之间的不平等。
将全球航运排放量分解为单向贸易对流量的量化过程巩固了“按贸易分配”国际航运排放的方法,增强了透明度。然而,为实现合理的责任分配,需考虑的因素远超图2a中的排放数据。以国家累积航运排放量来看,中国无论从进口还是出口角度都是最大的贡献者。然而,作为“世界工厂”,中国的大量航运排放源于矿物燃料和矿石的进口以及制成品的再出口。从这个角度看,贸易商品驱动的航运排放可能应归因于更多国家,而不仅仅是直接相关的双边贸易国,因为供应链中的上下游国家也是受益者。根据初始生产者或最终消费者分配航运排放责任可能会在国家层面上产生不同的责任,这种差异揭示了按贸易分配航运排放责任的潜在不公平性。尽管如此,GTEMS模型在将全球航运排放分解到贸易对和出口商/进口商方面取得了进展,可作为支持贸易对合作减排的评估框架。
图2b、c展示了TEEI-W(gCO2 ton−1 NM−1)和按价值计算的贸易排放效率指数(TEEI-V;mgCO2 US-1 NM-1),用于理解双边层面的贸易相关航运排放效率。由于国际贸易结构和船舶运营效率的异质性,不同双边排放流之间的TEEI-W差异达到38倍。高TEEI-W的国家多使用高排放船舶运输。从经济价值而非重量来看,不同双边对的TEEI-V差异高达数千倍(0.18-65.6 mgCO2 US$ −1 NM−1),全球平均每海里每美元贸易排放15.6毫克二氧化碳。虽然澳大利亚和巴西的TEEI-W较低,但由于出口的大量低成本高重量商品,其TEEI-V却显著较高。考虑到计算TEEI-W和TEEI-V的数据获取问题,这些指标的全球和双边值在此提供以供潜在应用。通过这些多尺度指标,经济、航运和大气之间的关联难题大大简化。
贸易商品的运输排放
在HS 2位码级别的98个商品类别中,矿物燃料(HS 27)的国际货物运输贡献了35.3%的航运排放。HS 4位码级别的主要商品包括原油(HS 2709,占13.4%)、非原油(HS 2710,占7.6%)、煤炭(HS 2701,占7.1%)和石油气(HS 2711,占5.7%)。矿石(HS 26)也占全球航运排放的8.7%,其中大部分与铁矿石(HS 2601,占7.5%)有关。
图3b解释了不同商品的贸易排放效率,每个商品的排放效率是所有贸易流涉及的该商品的全球航运排放总量与其总运输工作的比率。尽管以矿物燃料(HS 27)和矿石(HS 26)为主的散货商品对航运排放贡献很大,但其贸易排放效率(TEEI-W,大多数<30 gCO2吨-1 NM-1)低于大多数商品,因为这些散货产品通常由相对节能的散货船和油轮运输。然而,考虑到经济价值,其较低的单位价格无疑会导致较高的贸易排放效率(TEEI-V)。相比之下,由HS系统划分的制成品类别较为丰富,由于使用高能耗的集装箱船和滚装船运输(补充图2),其TEEI-W较高,而由于经济价值较高,其TEEI-V(大多数<20 mgCO2美元-1 NM-1)较低。
此外,与母类别(HS 2位码)相比,子类别(HS 4位码)的价值/重量(V/W)差异可能导致TEEI-V的更大偏差,如铁矿石(HS 2601)和煤炭(HS 2701)案例所示。需要注意的是,指数概念及其计算基准数据的使用同样重要。即使是相同商品,不同贸易对之间的船队组成、船舶运营效率和贸易价值差异也会导致全球和个别国家层面的不同TEEI估算结果。因此,涉及全球贸易流的TEEI评估预计将为全球范围内的航运排放评估提供更全面的定量参数。
贸易驱动的航运减排潜力
GTEMS模型的独特优势在于能够追踪船舶设计和运营、贸易伙伴、贸易量或贸易结构的变化并评估其对航运排放的影响。在此案例中,我们评估了在理想情景下,所有国家都遵循邻近贸易原则时的最大减排潜力。如果每种商品的总进出口量保持不变但贸易伙伴优化,国际贸易商品的全球航运二氧化碳排放量理论上可以减少38%,相当于284.0 Tg。图4展示了航运路线和主要商品的排放变化估算。大多数贸易路线的航运排放强度将大大缓解,峰值航运二氧化碳排放强度可减少10.2 Gg NM−1。主要的减排努力来自于原油、非原油、铁矿石、煤炭和石油气的航运优化,分别贡献了38.3 Tg、29.8 Tg、15.2 Tg、14.7 Tg和7.6 Tg二氧化碳。在主要商品中,非原油相对于自身具有最大的减排潜力,达到52.8%,其次是原油(38.1%)和石油气(35.8%)。
讨论
我们的研究创新性地开发了一个复合技术框架,即VoySEIM–GTEMS模型链,通过整合经济、运输和大气科学领域的数据和方法,最终将全球航运排放分解为细化的贸易关联排放流。这一框架补充了第四次IMO GHG研究的最新见解,并通过多个关键指标扩展了对国际航运排放的理解。TEEI-V和TEEI-W的提出进一步提高了反映贸易关联航运排放效率的透明度。该框架可用于评估或预测贸易事件对航运排放的影响,或评估贸易贡献(国家或公司)带来的效益,最终支持经济和技术政策耦合的减排情景综合评估。
贸易流中贸易关联航运排放效率的异质性表明船舶、船队路线和货物组合的累积效应。最近的IMO GHG研究建议,八组盈利性技术和操作措施的潜在减排量在2030年前少于10%,到2050年前为18%。在目前主要由船舶技术和操作措施引导的航运脱碳背景下,我们的模拟贸易情景通过优化国际贸易模式展示了巨大的减排潜力(38%)。本研究的结果有望在科学家和政策制定者探索实现IMO GHG减排目标的多种路径时发挥重要作用。
此外,VoySEIM–GTEMS模型链推进了嵌入供应链的排放转移研究。一方面,运输排放仍被视为供应链中长期被忽略的外部部门。VoySEIM–GTEMS模型链展示了评估供应链中间环节运输相关排放的能力,克服了当前主要关注生产相关排放的核算方法的主要缺点。另一方面,单纯按双边贸易分配排放责任对供应链中间环节的国家是不公平的。仍需技术输入以提出解决方案,将加工与终端消费区分开来。
方法
技术框架和数据源
本研究构建了VoySEIM–GTEMS模型链,系统研究2018年全球海上贸易中双边对和商品的贸易关联航运排放和效率。VoySEIM扩展了先前的船舶排放清单模型(SEIM),增加航程识别方法估算排放和能效操作指标(EEOI)。因观察航程不完全对应贸易出口,我们开发GTEMS模型,将贸易流数据与航程基础EEOI结合,估算贸易关联排放。
模型使用商业船舶数据和公开贸易数据构建。船舶数据包括2018年全年AIS数据(310亿条信号)和船舶技术规格数据库(STSD),排除邮轮和渔船。贸易数据来自CEPII的BACI数据库,涵盖200多个国家的5000多种商品,按HS编码组织。商品在HS四位码水平上合并,海上贸易不显著的国家纳入“其他”类别。预处理后,BACI数据包含120万条贸易流,涉及2451条双边流和1200多种商品。为估算海运贸易比例,还收集了联合国Comtrade数据库、Eurostat数据库和美国人口普查局的分运输方式贸易数据。
基于全球航程的 EEOI 计算
国际航程定义为不同出发国和到达国之间的航线,可通过AIS数据中船舶速度和位置的动态变化识别。航运排放可根据船舶瞬时发动机功率和基于功率的排放因子在每两个连续AIS信号的时间间隔内估算,并汇总每个航程的排放量。特定航程的运输货物质量根据STSD提供的DWT和装载效率计算。由于AIS信号连续报告船舶位置(经纬度),可以通过大圆距离算法计算航程距离。因此,航程特定的EEOI由公式(1)计算。
其中,EEOIv,s,i是按船舶类型和尺寸分类的每个航程的能效操作指标,单位为gCO2 ton−1 NM−1;Ev,s,i是航程CO2排放量,单位为吨;BAFv,s是停泊调整因子,无单位;DWTi是航程船舶载重吨,单位为吨;TCUv,s是总容量利用率,无单位;Dv,s,i是航程距离,单位为NM。
航运排放包括主发动机、辅助发动机和锅炉的排放。为了为GTEMS模型提供输入参数,航程基础EEOI按船舶类型和起止国家对进行平均,公式(2)所示。
TCU描述船舶实际运输工作与最大运输能力的比率,包括分配利用率和有效载荷利用率。对未提供TCU的船舶类型,默认值为70%;对集装箱船,进一步调整为85%。。BAF调整航程基础排放结果,定义为停泊和锚泊模式排放与航行模式排放的比率。
国际贸易驱动的航运排放估算
基于VoySEIM的双边贸易流和船队能效,GTEMS模型估算国际贸易关联的航运排放。模型假设海上商品在双边贸易路线上运输,公式如下:
(1) 海运贸易比例海运比例(SP)通过直接计算或间接估算确定。对于约68%的全球贸易量,直接计算基于联合国Comtrade、Eurostat和美国人口普查局的数据。其余部分通过陆路运输不可行性指数(LTII)估算:
(2) 商品与船舶的联系。通过总结海洋物流信息平台网站收集的物流信息,为每种商品分配到不同运输船舶类型制定了一套分配系数。补充图8显示了每个商品章节的主要运输船舶类型和估算的商品-船舶运输流。
(3) 运输航线距离。从AIS数据中提取空间信息,开发全球航运路线网络,模拟双边路线距离。使用Dijkstra最短路径算法计算港口间最短路线,共246,017条。考虑到贸易国家通常有多个港口,采用简单平均可能会对如美国、加拿大和俄罗斯等国家带来偏差。通过比较Dijkstra算法估算的双边路线距离与VoySEIM计算的观察到的航程距离,进行多次测试,测试结果显示最佳的决定系数(R² = 0.83)和均方误差(MSE= 0.60)在10%分位数时获得。最终对这些偏差进行校正,假设不同贸易对之间的平衡。
通过优化贸易伙伴实现脱碳潜力
作为GTEMS模型的典型应用,我们模拟了重新分配贸易伙伴以减少航运排放的潜力,同时保持当前国际贸易量。假设每个国家进口/出口类似商品时选择更近的路线或更高能效的路线,可以实现航运排放的减少。该情景可视为线性规划模型,目标是最小化国际航运总排放量,约束条件是各国的总进口量和总出口量保持不变,确保贸易流不会超过任何国家的生产能力和需求。目标函数和约束条件如下:
质量保证和验证
在模型开发过程中,通过质量保证和控制,验证中间参数和最终结果,并与外部数据源进行比较以尽量减少不确定性。GTEMS的部分中间参数按步骤验证,包括海运贸易比例、商品-船舶关联和双边贸易路线距离。具体措施如下
(1) 国际航程识别和EEOI估算的过滤器应用
-
排除技术信息不完整的船舶。 -
过滤出发点或到达点不在沿海边界内的航程,避免AIS信号中异常速度导致的中断。 -
过滤EEOI分布中小于0.5%分位数和大于95%分位数的值,以消除异常值干扰EEOI估算结果与第四次IMO GHG研究的比较显示,各船舶类型和尺寸的中位数和总体变化趋势相似
(2) 海运贸易量验证 GTEMS分配给运输船舶的海运贸易量与VoySEIM观测到的运输量及宏观统计数据一致。估计总海运商品量为106亿吨,与联合国海运统计的110亿吨相符。同年,散货船运输45.2%的海运贸易,油轮22.1%,集装箱船15.8%,与海运报告统计数据相符。贸易价值方面,集装箱承载大部分商品(51.4%),与Clarkson统计一致。
(3)排放结果验证 GTEMS和VoySEIM的全球航运排放结果按船舶类型分类,与IMO最新评估的类似航程方法相似(补充表1和补充图10)。在更细的尺度上,通过与巴西出口案例研究比较,双边和商品层面的航运排放结果也得到了验证(补充图11)。


