导语:在牛津大学环境变化研究所,J. Verschuur 团队致力于供应链的可持续发展研究,并已在《Nature》系列期刊上发表多篇重要论文。本次分享的是他们的Nature上的第一项开创性工作,发表于《Nature Communications》。该研究通过融合贸易网络和海上运输网络,创新性地量化了港口在全球供应链中的关键作用。本文将深入探讨其研究方法和发现,为理解港口在全球经济中的至关重要性提供了新的视角。
摘要
我们通过预测贸易流在全球海运网络上的分配来量化全球 1300 个最重要的港口对全球供应链的重要性,并将其与全球供应链数据库联系起来,以评估港口对经济的重要性。我们发现,按价值计算,全球贸易的 50% 是海上贸易,低收入国家和小岛屿对其港口的依赖程度是全球平均水平的 1.5 倍和 2.0 倍。全球最大的 5 个港口处理的货物占全球产出的 1.4% 以上,而 40 个港口则占其所服务的经济体(主要是小岛屿)国内产出的 10% 以上。我们确定了一些依赖其管辖范围之外的特定港口的内陆国家和岛屿国家的关键跨境基础设施依赖性。我们的研究结果为制定新战略铺平了道路,以增强港口基础设施和海上贸易的弹性和可持续性。
引言
海上运输被认为是国际贸易和全球经济的支柱。港口支持跨国界生产中心和消费市场的整合,经济规模和结构(如贸易组成、供应链结构)的变化与特定港口的预期货运流量之间存在大量的依赖关系和反馈机制。同样,海上运输网络的变化(如新的基础设施投资)或中断(如港口关闭)可能会对多个国家和行业的供应链产生影响。海上运输和全球供应链网络在不同空间尺度上相互作用,最近的事件显示了两者之间的紧密联系。
在最大的空间尺度上,全球贸易网络,海上贸易的需求由各国的贸易需求、供应贸易的国家以及贸易的海运比例(即运输方式的分配)驱动。因此,货运流量的相对变化反映了贸易需求、供应和运输方式分配的变化。新冠疫情在全球范围内影响了港口运营,同时改变了需求和供应模式。一方面,工厂关闭、港口关闭和劳动力短缺导致海上运输和供应链中断;另一方面,需求模式的转变在许多港口造成了巨大的贸易瓶颈。基础海上运输网络上的货运需求,由连接港口的海上航线组成,是由对运输服务的地理需求和系统的网络结构决定的。对于某些商品,这个网络被认为更集中(如集装箱运输),而对于其他商品则更分散(如散货运输)。2021年苏伊士运河堵塞事件突显了特定航线上发生的大规模冲击如何影响全球多个港口,并最终影响依赖这些港口的供应链。最终,港口处理的贸易流量服务于不同腹地的供应链,既可以是直接的(如企业直接从港口接收货物),也可以是间接的(如企业依赖于从港口接收货物的其他企业)。例如,2005年的飓风卡特里娜关闭了路易斯安那州的主要港口,导致全球粮食供应的大规模中断,美国的出口损失波及全球依赖这些供应链的国家,并推高了商品价格。
港口对经济的系统重要性(即基于网络的重要性)通常以流经港口的绝对贸易量、其在海上运输网络中的网络特征(如节点中心性)或其对地方或区域经济的贡献(如区域就业和增加值)来衡量。然而,这些衡量方法忽略了港口作为跨国供应链的物理基础设施的主要功能,因此未能全面展示港口与经济之间的依赖关系和反馈机制。
建立一个细致的表示全球各个工业部门如何利用海上运输以及各个港口对全球供应链的重要性,可以帮助我们重新思考港口的重要性,对不同学科有指导意义。例如,这可以更好地理解供应链中物理贸易流的地理分布,将环境足迹与商品流联系起来,预测随着经济增长对港口需求(包括体积和空间需求),将海运排放(2012年约占全球温室气体排放的2.6%)分配到各国和各行业,并评估因海上运输中断可能造成的供应链损失。
到目前为止,一些宏观经济研究已经考察了国际贸易和供应链互联性的演变。这些分析得益于多区域投入产出(MRIO)表的发展,该表描述了国家内部和国家之间的产业依赖性。尽管MRIO表提供了国家和区域层面上产业间和产业内贸易流的大量数据,但它没有提供这些贸易流所使用的国内和国际运输系统的见解。另一部分文献通过复杂性科学的视角分析了海上运输网络的网络结构和演变。然而,这些研究仅关注港口之间的航运连接,而没有结合关于海运货物的信息,货物的来源和去向,以及货物在经济中的使用方式。因此,迄今为止,描述全球经济结构的信息(即全球贸易和供应链数据)与用于实现这种经济结构的运输网络的自下而上的表示(即观测到的海上运输流)之间仍存在空间错配。
在此,我们提出一个新的建模框架,全面理解港口对国内和全球经济不同维度的重要性(例如在贸易、运输和供应链层面),这些维度在港口层面的贸易统计中没有体现。为此,我们对港口与海上贸易、它们使用的运输网络(涉及207个国家的1378个港口)以及它们服务的供应链(涉及176个国家的1298个港口)之间的联系进行了全球一致性评估。首先,我们估算所有双边贸易流中海上贸易的比例,并将其输入新开发的牛津海上运输(OxMarTrans)模型,该模型模拟了海上和腹地运输路线。然后,将流经港口的贸易流与全球供应链数据库(EORA MRIO表)联系起来,以量化港口与经济之间的联系和反馈。我们的研究结果为更好地理解港口、海上基础设施网络与全球经济之间的关键联系、依赖关系和反馈机制铺平了道路,这对于可持续基础设施规划至关重要。
结果分析
概述
结果总结了不同层上的模型输出;贸易网络层、运输网络层、港口供应链层。这三个层在补充图 1 中进行了概念化。贸易网络层结果讨论了全球模式分割模型的输出(即跨运输模式的贸易流分布),该模型量化了一个国家对海上贸易的依赖程度的变化占总贸易的比例商品层面的贸易。传输网络层结果概述了 OxMarTrans 模型的几个输出。OxMarTrans 模型模拟了腹地和海上运输网络上 207 个国家 3400 个地区之间的数百万海上货运流的路线选择。产出包括运输网络上和通过两条主要运河(苏伊士运河和巴拿马运河)的全球货运总量、各国通过陆上连接和转运对外国管辖区海上基础设施的依赖程度、港口一级的贸易流量以及所有港口的贸易流量分布。为了量化国内和全球经济对通过港口(即港口供应链层)的贸易流的依赖,我们使用扩展至港口级别的 EORA MRIO 表 ,将流经港口的商品与全球供应链联系起来他们服务。构建了两个指标来捕获这些依赖关系;(1)港口级产出系数(PLOC)和(2)港口级进口系数(PLIC)。本分析考虑的基准年是 2015 年,这是 EORA MRIO 数据库中可用的最新年份(截至撰写本文时)。在整个研究中,我们采用符合 EORA MRIO 的 11 个部门行业分类来评估部门之间关键性的差异。
海运在全球贸易中的份额
这篇研究总结了模型在不同层次上的输出结果,包括贸易网络层、运输网络层和港口供应链层。这三个层次的概念如下所示。
贸易网络层的结果讨论了全球运输方式分配模型的输出(即贸易流在各种运输方式之间的分布),该模型量化了各国对海上贸易的依赖程度,以商品为单位占总贸易的比例。运输网络层的结果概述了OxMarTrans模型的多个输出。OxMarTrans模型模拟了3400个地区在207个国家的腹地和海上运输网络上的数百万海运货物流的路线选择。输出包括运输网络和两个主要运河(苏伊士和巴拿马)的全球货运流量总和,各国通过陆上连接和转运对外国海上基础设施的依赖性,港口层面的贸易流量,以及所有港口的贸易流分布。
为了量化国内和全球经济对港口贸易流的依赖性(即港口供应链层),我们使用扩展到港口层面的EORA MRIO表,将流经港口的商品与其服务的全球供应链联系起来。构建了两个指标来捕捉这些依赖关系:港口层面输出系数(PLOC)和港口层面进口系数(PLIC)。本分析的基准年为2015年,这是EORA MRIO数据库中最新的一年。在整个研究中,我们采用与EORA MRIO一致的11个部门行业分类来评估各部门之间的重要性差异。
在贸易网络层,国家之间的海上贸易量由各国对所有运输方式的贸易总额和海上贸易的份额决定。我们的运输方式分配模型估计了全球约800万个双边贸易流在商品层面的海上贸易份额(HS6)。需要注意的是,在本研究中,运输方式定义为供应商-消费者连接中占主导地位的运输方式(最长距离),这意味着内陆国家仍然可能依赖海上运输(见方法)。我们估计2015年约有94亿吨贸易,价值约7.6万亿美元,以海运方式进行。按重量计算,全球贸易中海运占约75%,按价值计算占约50%。这个数字与UNCTAD报告的2015年港口卸货的99.6亿吨贸易量相吻合。然而,不同行业之间存在很大差异。例如,按价值计算,采矿和采石业(行业3)的产品通过海运运输的比例为75.7%(按重量为86.0%),而大多数制造业(行业4至11)通过海运运输的比例仅为40%至57%(按重量为53%至60%)。
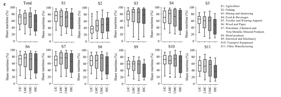
图1显示了每个国家总进口(a)和总出口(b)中海上运输的百分比,而补充图2和图3显示了各经济部门的相同结果。贸易的海运占比主要由贸易伙伴的地理位置(例如距离、岛国)、替代运输方式的存在(快速且便宜)、商品的价值与重量比以及进口国的生活水平(例如物流服务质量)决定。加勒比海岛屿、大洋洲国家和一些非洲国家(如索马里、尼日利亚、加蓬)在进出口方面严重依赖海上运输。欧洲国家,特别是内陆国家(如罗马尼亚、匈牙利、瑞士),海上运输的比例要低得多,主要是因为欧洲国家之间的贸易流量较大,使用公路、铁路和内陆水道运输商品,距离相对较短。中东(如沙特阿拉伯、阿联酋)和南美洲(如巴西、哥伦比亚)国家的出口比进口更多依赖海上运输。这些国家主要出口原材料(如石油、煤炭、粮食),这些材料主要通过海运船只运输,但进口的商品种类更为多样,使用多种运输方式。小岛屿发展中国家(SIDS)严重依赖海上运输,其进口和出口的海运比例分别为86.5%和79.8%,几乎是非SIDS国家的两倍。SIDS通常只有少数几条海上运输路线,运输成本高,使得可靠的海上运输服务对其经济的正常运行至关重要。
图c显示了按国家收入水平分组的总和特定行业进口中海运的比例(使用2021年世界银行分类)。低收入国家通过海运进口的平均比例是高收入国家的1.5倍(68%对45%)。制造业(行业8至11)的差异最大,其海运比例是高收入国家的1.5至1.8倍。这一差异可以解释为低收入国家通常贸易低价值的散货,海运是唯一可行的选择,而高价值商品相对较少,更多通过飞机运输。即使在同一大洲,例如非洲,对于某些商品,海运通常是唯一可行的运输方式,因为公路基础设施缺乏可靠性和容量,卡车运输效率低,边境过境可能耗时。因此,低收入国家融入复杂的制造供应链(这些供应链关键依赖准时物流服务)可能会受到其对海运依赖过重的阻碍,海运比空运慢得多。
全球海运流量分配
海上运输网络由港口和使用不同船型(如油轮、集装箱船)运输货物的海上航线组成,连接了生产地和需求市场。OxMarTrans模型预测了在每个国家对之间和每个经济部门中用于运输海上贸易流的港口和海上航线,包括转运地点(见方法部分)。基础腹地和海上网络包括1378个港口,港口连接和海上网络容量基于自动识别系统(AIS)数据中观察到的船舶活动数据。OxMarTrans模型因此帮助识别港口的空间连接性;用于从特定港口运送货物的海上子网络(补充图4展示了九个港口的空间连接性)。
在全球范围内,为满足海上贸易需求,我们估计通过海运运输的货物总量为90.5万亿吨公里,另外33.4万亿吨公里通过陆路连接腹地和港口。模型预测的海上货运量与UNCTAD估计的84万亿吨公里一致。采矿和采石业(第3部门)单独占总海上吨公里的43%,而电气和机械产品制造(第9部门)、运输设备(第10部门)和其他制造商品(第11部门)合计仅占总吨公里的2.7%。补充图5显示了每个港口的总吞吐量(进口、出口和转运的总和)以及海上运输网络上的估计流量,补充图6显示了每个部门的类似结果。
许多国家依赖于通过苏伊士运河或巴拿马运河运输的货物。总的来说,我们的模型预测2015年约有1.1万亿美元(占海上贸易的13.9%)和0.49万亿美元(占海上贸易的6.2%)分别通过苏伊士运河和巴拿马运河,这与官方统计数据一致(见补充说明3)。对于巴拿马运河,墨西哥湾、南美西海岸和东亚部分地区的港口直接依赖于通过运河运输的货物(图2a)。苏伊士运河对于亚洲和欧洲之间的贸易至关重要。在运河东侧,新加坡、吉达、科伦坡、米纳杰贝尔阿里港最依赖苏伊士运河,而在苏伊士运河西侧,比雷埃夫斯、鹿特丹、马耳他马萨什洛克和阿尔赫西拉斯港最依赖该运河(图2b)。
跨境海事基础设施依赖
内陆和海洋经济体都依赖于其他国家的海上基础设施,因为它们要么使用邻国的港口进出口货物,要么利用转运服务将货物从起点运送到目的地。例如,2012年全球约28%的集装箱吞吐量涉及转运,即从深海船卸下的集装箱被转运到另一艘深海船或较小的船(即支线船),以服务于原本未连接的港口对。
使用OxMarTrans模型,我们估计约16.4%的全球港口吞吐量(按价值计算)是转运的,同时19.4%的港口吞吐量是通过腹地运输网络连接的外国的进口或出口。图2c显示了每个港口的外国吞吐量占比。绝对值上,大型转运枢纽(如新加坡、阿尔赫西拉斯、瓦伦西亚和马萨什洛克)具有较高的外国吞吐量。此外,勒阿弗尔-汉堡区域(勒阿弗尔、安特卫普、鹿特丹、不来梅)的港口处理了最大量的外国进出口货物,因为它们竞争进入和来自中欧腹地的贸易。
在区域层面上,一些港口在服务内陆国家或岛国方面发挥关键作用(见图2c中高亮显示的港口?)。例如,在非洲,吉布提港处理了几乎所有埃塞俄比亚的海上贸易,达累斯萨拉姆港(坦桑尼亚)和贝拉港(莫桑比克)对撒哈拉以南非洲的内陆国家至关重要,而洛美港(多哥)和科托努港(贝宁)对西非的内陆国家至关重要。在南美洲,阿里卡港(智利)和伊洛港(秘鲁)处理了玻利维亚的大部分海上贸易,而卡亚俄港(秘鲁)是南美的重要转运枢纽。在大洋洲,几个港口(如布里斯班、奥克兰、阿普拉、莱港)是太平洋岛国经济体的重要转运枢纽,类似的观察结果也适用于加勒比地区的重要区域转运枢纽(见图c)。
每个港口的贸易流量分布
全球港口的进口和出口贸易流量,与不同类型下的港口进出口排名
决定流经港口的海上贸易总量的因素有很多,如海上连接性、物流服务和腹地的存在。图3a和3b显示了所有贸易流中的进口(图3a)和出口(图3b)的分布,并标注了前10大港口。我们还展示了全球核心港口,定义为那些负责进口或出口全球50%贸易的港口?(黑色边缘颜色)。核心进口港位于北美(洛杉矶-长滩港、纽约-新泽西港)、西欧(鹿特丹港)、中东(米纳杰贝尔阿里港)和亚洲(新加坡港、上海港),这些港口服务于人口稠密的腹地(所谓的门户港)或工业和物流中心。核心出口港包括对农业产品出口至关重要的专业港口(温哥华、新奥尔良、桑托斯),石化产品(休斯顿、新加坡、鹿特丹),铁矿石(黑德兰港和丹皮尔港),电气和机械制造(上海、釜山、高雄),汽车制造(蔚山、名古屋、不来梅港),以及石油和天然气(拉斯塔努拉、法赫德国王工业港)。
贸易高度集中在相对较少数量的核心港口。贸易的不均衡性体现在处理10%、50%和90%贸易量的港口数量上。仅有4个(3个)港口负责10%的贸易,56个(48个)港口负责50%的贸易,而378个(366个)港口负责90%的全球海上进口(出口)(见补充表2)。这强调了从全球角度看,海上运输网络由少量核心港口和大量次级(即外围)港口组成。
总结果掩盖了某些港口在部门层面上的重要性。图3c显示了每个部门核心进口和出口港口的地理位置,展示了贸易流动的明显地理聚集,这些流动要么连接到重要的需求市场,要么紧邻大型特定行业集群。农业贸易(第1部门)在美国、巴西和阿根廷有明确的起点港,为欧洲和亚洲各地的港口服务。采矿和采石(第3部门)以及食品和饮料(第4部门)产品的进出口热点更加分散,反映了不同地区的出口专业化(例如中东的石油,澳大利亚的铁矿石和煤炭,印度尼西亚和马来西亚的食品产品)。木材和纸制品制造(第6部门)在斯堪的纳维亚、美国和中国有大型出口港,向英国、日本和中东的港口出口木材产品。金属制品(第8部门)通过中国、南非和智利的港口出口,并供应到中东、东南亚和美国。其余制造部门(第5、9-11部门)在西欧、东亚和美国的港口都有大量出口,进口商品进入中东、澳大利亚和南美部分地区的港口。
不同部门的贸易不均衡性差异显著(见补充表2)。最大的不均衡性出现在纺织品和服装(第5部门)、运输设备制造(第10部门)和其他制造业(第11部门)的出口上,而农业产品(第1部门)、食品 和饮料(第4部门)以及石油、化工和非金属矿产品的进口则具有最低水平的贸易不均衡性。这些部门间的差异加强了之前研究的结果,这些研究分析了不同类型海运船舶网络的特征(这些特征表明了行业),发现了这些船舶网络之间的关键差异。
港口层次输出系数
每个港口都与其所服务的国内和外国经济体中的一个或多个供应链相连,这些连接可以是直接的(例如,通过企业直接从港口发送或接收货物)或间接的(例如,通过依赖其他从港口发送或接收货物的企业)。更具体地说,通过港口进口的产品要么在经济体中直接消费,要么用于生产过程中,以生产供国内消费或出口的商品。此外,通过港口出口的商品被用于其他地方的生产过程中,或者被直接消费。我们称之为港口供应链网络。
为了理解港口在国内和全球供应链中贸易促进功能的重要性,我们开发了一个度量标准,称为港口级别产出系数(PLOC),它捕捉了直接或间接依赖于通过港口的贸易流的总行业产出和消费,既可以是绝对值(PLOCA),也可以是相对于港口贸易量的相对值(PLOCR)。这是通过从扩展的MRIO表中移除通过港口的贸易流并量化对国内和全球经济的产出变化来实现的(见方法部分)。
在相对值方面(PLOCR),每1美元的通过港口的贸易平均影响(第5至第95百分位)全球经济中的4.34(3.84-5.03)美元的价值(补充图7)。东亚的港口(如中国、韩国、台湾)显示出较大的相对值,这些港口在全球供应链中强烈整合,但也包括一些澳大利亚(如黑德兰港和丹皮尔港)和非洲(如萨尔达尼亚港)的原材料出口港,这些港口对于下游供应链(例如使用原材料生产中间产品的企业)也很重要。
在绝对值方面(PLOCA),有些港口对国内经济重要,而另一些港口对全球经济更为重要。在某些情况下,港口对两者都至关重要,如图所示,显示了对国内经济和全球经济最关键的前10大港口。对全球经济最重要的前5大港口(新加坡、上海、釜山、鹿特丹、安特卫普)处理的货物直接或间接贡献了全球行业产出的超过1.4%。总共有94个港口被认为对全球供应链宏观关键,表明全球行业产出的超过0.1%依赖于这些港口。有40个港口被认为对国内经济至关重要,其行业产出的超过10%依赖于通过单个港口的贸易。例如,一些对国内经济关键但对全球规模微不足道的港口(图4a中的深蓝色或紫色标记)包括毛里求斯的路易港(国内产出的26.9%)、特立尼达和多巴哥的皮埃尔角(国内产出的24.9%)、冰岛的雷克雅未克(国内产出的23.0%)和巴林的锡特拉(国内产出的25.3%)。高雄(台湾)、香港(香港)、林查班(泰国)和巴生港(马来西亚)(图4a中的红色标记)被发现对国内和全球经济都至关重要。类似的图可以用于国家最终消费需求,补充图8显示了全球和国内关键港口。尽管整体空间分布相似,但一些港口对满足最终消费更为重要,特别是对于一些单一港口进口超过35%最终消费需求的小岛屿经济体。因此,仅关注通过港口的贸易绝对规模来判断其重要性忽略了一些较小港口对于国内经济仍然至关重要的事实。
港口在全球供应链中的地位
要进一步解读港口级别产出系数(PLOC)指标,可以分析通过港口流通的货物是相对更多依赖于国内还是外国的生产过程,以及相对更多依赖于前向(出口货物在供应链下游的生产过程中使用)或后向联系(进口货物在供应链上游的生产过程中使用)。这四个成分的相对重要性决定了港口在全球供应链网络中的不同定位。
在图5中,我们展示了港口吞吐量在供应链下游(前向)或上游(后向)的行业产出贡献,以及这些产出与国内或外国供应链的关联程度。我们展示了一些被认为是宏观关键的港口,它们位于光谱的两端。鹿特丹、新加坡和阿尔赫西拉斯港口具有较大的外国依赖性,鹿特丹和新加坡由于其作为石化产品枢纽的角色,位于供应链的中间位置,而阿尔赫西拉斯更多位于供应链的末端(因为其转运制造商品)。上海和不来梅港则具有更高的国内依赖性和更大的后向联系。这些港口高度整合于国内制造供应链(例如不来梅港的汽车制造,上海的电子和其他制造业)。洛杉矶-长滩港具有较大的后向联系,表明它主要进口供应链末端的货物,而蔚山则具有较大的前向联系,因为它在出口国内生产的商品(例如车辆)中起关键作用。在光谱的左侧是主要具有前向联系的港口,这意味着它们主要出口在供应链下游生产阶段中使用的货物,如伊塔基(铁矿石和谷物)和米纳阿尔阿哈迈迪(石油)。
PLOC指标展示了国内和全球供应链如何与港口相连,以及港口在全球供应链网络中的不同定位。虽然超出了本研究的范围,但这一指标可以帮助评估港口受到冲击时供应链网络内的潜在损失。此外,它还可以帮助将通过港口的货物流量中的海运排放分配到特定的供应链。
港口级进口系数
随着经济增长和最终需求(即国内消费和出口)在绝对量和构成上的变化,通过港口的进口是必要的,以满足这种需求。由于供应链的不断分散(即不同生产阶段在不同国家进行)和全球化(即全球扩展),对海上进口的依赖也在增加。作为描述港口与经济之间反馈的补充指标,我们使用扩展的MRIO表估算每个港口的直接和间接(通过产业间依赖)进口,以生产其所服务的经济体中的国内消费和出口。港口级别进口系数(PLIC,见方法部分)量化了各经济体最终需求每增加1000美元,港口级别进口的边际变化。
图6a突出了PLIC值最大的15个港口。这些前15大港口的PLIC值均超过170(最高达到486),27个港口的PLIC超过100。PLIC值最大的港口相对较小,服务于岛国(如马尔代夫、阿鲁巴、毛里求斯、法属波利尼西亚),但也包括达累斯萨拉姆港,服务于坦桑尼亚和内陆非洲腹地的需求。一些较大的港口作为重要的转运枢纽(如新加坡、金斯顿、马萨什洛克和弗里波特)也具有较高的PLIC值,表明它们不仅对于连接区域内的港口至关重要,也满足了岛屿经济体的最终需求。
与跨境吞吐量依赖性类似,一些港口对外国经济需求变化比对国内经济需求更敏感(见补充图9)。例如,非洲的一些关键港口(吉布提、贝尔贝拉、科托努、马普托)对外国需求变化更敏感,因为它们服务的内陆经济体比自身更大。同样在欧洲,巴尔港(黑山)和布尔加斯港(保加利亚)对外国需求的敏感度也很高。
总体来说,PLIC值较大的港口位于进口港数量有限且总体贸易开放度高的国家,即它们过度依赖外国产品来满足国内消费,并用于生产过程中再出口到其他国家。为进一步探讨国家之间的差异,我们将PLIC值汇总到其服务的经济体(国家级进口系数,CLIC),指示了国家范围内的海上进口随着最终需求每增加1000美元的变化。
在国家层面,每增加1000美元的最终需求,为该国家服务的港口海上进口中位数(最大值)增加84.6(501.5)美元,突显了国家之间的巨大差异。小岛屿发展中国家的CLIC比非小岛屿国家高1.5倍(见图6b)。图6c展示了不同收入组别的CLIC,显示低收入国家的CLIC较低,因为它们通常整合程度较低且供应链多样性较差。总体而言,制造业部门的进口系数较大,每单位最终需求需要更多的海上进口。例如,在所有国家中,农业(第1部门)和采矿及采石(第3部门)部门的每1000美元部门需求变化平均需要40美元的海上进口,而一些制造部门(第9-11部门)平均每1000美元部门需求变化需要112-153美元的海上进口。因此,由于高收入国家通常更为多样化(例如更高的制造业基础)且更好地整合在全球供应链中,它们每美元的最终需求变化需要更多的海上进口。进口系数(在港口和国家级别)有助于理解随着国家发展(如需求增长)、供应链重组(如更好的供应链整合)和部门构成转变(如更高的制造业基础),未来通过港口的贸易流量将如何变化。
讨论
这项研究全面分析了全球1300个港口在国际贸易、海上运输和全球供应链网络中不同维度的关键性。该研究超越了传统的投入产出分析(未能解析个别港口的作用)和海上网络分析(未能反映网络上运输的具体商品量),提供了一种新的定量框架,使人们重新思考特定港口在国内和全球经济中的角色,以及跨国界对海上基础设施的依赖。
我们发现,按价值计算,全球约50%的贸易通过海上运输,尽管采矿和采石行业(76%)的比例更高。海上贸易流量高度集中在少数几个港口,这些港口受益于规模经济,并且与海上和腹地网络有良好整合。大约50个港口(在1380个港口中)负责50%的全球海上贸易,而某些行业如纺织品和服装制造以及运输设备的贸易不均衡性更大。
低收入经济体和小岛屿发展中国家(SIDS)对其港口基础设施的依赖程度不成比例。低收入国家通过海上运输的进口量是高收入国家的1.5倍,而SIDS的海运进口依赖性是非SIDS的两倍。因此,如果不希望经济增长受到港口容量的限制,对低收入国家和SIDS进行可靠的港口基础设施投资是必不可少的。港口提供的贸易便利化不仅限于港口范围,因为港口往往吸引行业集群并降低贸易中的交易成本,从而通过进入国际市场(如食品供应、扩大出口市场)带来间接利益。
我们发现,由于陆地连接或转运服务,港口与其所服务的经济体之间存在巨大的跨境依赖性。全球范围内,转运服务和使用外国(陆地连接)港口贡献了35%的全球港口吞吐量。我们确定了非洲和南美洲的内陆国家与特定沿海港口之间的重要跨境联系,以及太平洋和加勒比地区的岛屿经济体对区域转运枢纽的依赖。经济体对外国海上基础设施的相互依赖意味着,当经济或海上网络发生冲击或结构性变化时,可能会产生溢出效应。例如,内陆经济体的强劲经济增长或内陆国家与海上邻国之间跨境运输网络的改善(如“一带一路”倡议和跨洋公路走廊)可以导致相关港口需求的增加。
港口在整合国内和全球供应链中起着关键作用。相对而言,每通过港口的1美元贸易平均为经济贡献4.3美元的价值。尽管世界上一些最大的港口被认为对全球经济至关重要(>1.4%的全球产出依赖于通过这些港口的贸易),我们还确定了一些在贸易依赖经济体中对>10%国内工业产出至关重要的港口(40个)。港口在供应链中的位置取决于国内与国外、前向与后向供应链联系的相对重要性。类似规模的港口可能处于光谱的不同端点,这对于评估经济与通过港口的贸易流之间的反馈以及港口中断时供应链损失的潜在规模和空间范围具有重要意义。
最后,我们发现,在一个经济体中,每增加1000美元的最终需求(如国内消费和出口),为该经济体服务的港口海上进口中位数增加85美元。然而,一些(27个)港口在其服务的经济体中,最终需求每增加1000美元,进口超过100美元,其中大多数是服务于小岛屿经济体的港口,也有服务于内陆经济体的港口(如达累斯萨拉姆、吉布提)。虽然低收入国家每美元需求变化的海上进口要求低于高收入国家,但随着经济增长,供应链变得更加多样化和更好地整合,低收入国家的进口敏感性预计将增加。
我们的定量建模框架为各学科的未来研究铺平了道路。首先,我们对全球贸易流的细化分析可以估算嵌入海上运输中的碳排放,并帮助将这些排放分配给各国和各行业。其次,通过将各种运输政策(如基础设施投资、新的运输路线、改进贸易便利化或碳税)纳入模型,可以评估货物流量的变化分配。第三,通过分析未来的贸易流量,当前的分析可以帮助量化新港口基础设施的未来投资需求。最后,通过将此框架与灾害影响模型相结合,可以评估港口或海上运输中断造成的全国和全球经济损失,包括由于气候变化(如海平面上升)导致的未来损失。
总之,港口通过促进连接全球供应链网络的贸易流动,与经济密切相关。我们的研究强调需要重新思考港口在国内和全球经济中的关键独特性,这些特性在港口层面的贸易统计中大多被隐藏。我们还强调需要将港口基础设施的长期规划与对互联运输和经济系统的系统性理解相结合。鉴于社会对海上运输的巨大依赖,评估港口与经济之间的关键联系、反馈和依赖性对于经济的可持续发展至关重要。
方法部分
概述
我们描述了运输方式分配模型、海上运输模型和使用MRIO表连接港口与供应链的方法。在整个分析过程中,我们使用国家经济作为空间聚合的层级,并进一步细分到港口层级。这是因为国际贸易数据和全球供应链数据库是按国家构建的,限制了使用次国家经济数据。我们承认,这可能会导致一些结果的偏差,因为一些结果的解释可能与经济规模有关。此外,在整个研究过程中,港口被定义为一个或多个在指定港口边界内的码头,这些边界根据世界港口指数划定,这是最广泛使用的港口数据库。(1)运输方式分配模型:该模型预测了贸易流在不同运输方式之间的分配,包括海运、公路、铁路和航空运输。通过分析各国之间的双边贸易数据,我们估算了每种运输方式在总贸易量中的份额。(2) 海上运输模型:OxMarTrans模型模拟了海上和腹地运输网络上的货运流量。该模型利用自动识别系统(AIS)数据,跟踪全球1378个港口的船舶活动,预测货物从起点到终点的运输路径。(3)MRIO表与供应链连接:扩展的多区域投入产出(MRIO)表用于量化港口与国内和全球供应链之间的联系。MRIO表提供了各国和各行业之间的贸易流数据,我们将这些数据细化到港口层级,以捕捉港口在生产和消费过程中的作用。
模态分割模型
我们开发了一个全球运输方式分配模型,用于预测每个双边贸易流中的海运贸易份额,具体到商品层级。模型旨在最大化货物运输的效用,包括运输方式、O-D特定变量(如收入、邻国)和商品特定变量(如数量、重量比、易腐性)。我们基于UN Comtrade的国际贸易运输数据拟合模型,并使用BACI贸易数据库中的800多万个商品层级贸易流数据进行预测。数据按11个部门分类,确保与EORA MRIO表一致。外部验证显示模型结果准确且稳健(见补充说明2),并为全球货物供需建模提供了基础。这一模型为国际贸易分析、供应链优化和政策制定提供了支持。
牛津海运模型
本研究开发的新全球海上运输模型(Oxford Maritime Transport model,简称OxMarTrans)结合了自上而下的运输需求表示(由预测的海运贸易流驱动)和自下而上的(资产级)海上和腹地运输网络表示。其主要目的是准确分配国家间的贸易流,并细分到国家内的行政区域,考虑到基于实际船舶运动数据(自动识别系统,AIS)观察到的1380个港口之间的部门特定容量的可能港口和海上路线。详细的模型描述和验证见补充说明。
-
细化区域模拟:模型模拟了全球约3400个次国家区域之间的流动,而不是使用国家质心,从而更好地捕捉不同港口如何促进特定腹地的贸易。 -
多模式腹地运输网络:模型包含了多模式腹地运输网络,从而捕捉港口选择如何受到其腹地内更好整合(更好的连接性或可用的替代模式)的驱动。 -
嵌入实际海上运输网络:模型基于实际船舶运动嵌入了观察到的海上运输网络,因此考虑了实际路线偏好(例如战略路线决策)。以前的工作未包含这一点,难以真实地模拟路线选择,特别是转运流。 -
部门特定约束:我们在模型框架中添加了部门特定约束,帮助我们捕捉不同港口的专业化以及它们处理的特定货物。 -
经济部门流分配:我们按经济部门进行流分配,其输出提供了与MRIO的明确联系,这在以前的模型框架中未曾实现。
链接至投入产出表





