摘要 :航运脱碳已成为一个重要的政策目标。尽管集成评估模型(IAMs)通常用于探索气候缓解策略,但它们通常对国际航运提供的信息较少,而国际航运大约占全球二氧化碳排放的 0.7 GtCO2 每年。在此,我们进行了一项多模型集成评估分析,探讨国际航运的脱碳潜力,并展示了未来几十年内减少年排放量的可能性,预计到 2050 年可减少最多 86%。这一减少主要通过低碳燃料的应用来实现。那些代表多种潜在低碳替代品的模型通常表现出更深入的脱碳路径,其中可替代传统航运燃料的主要低碳选项包括生物燃料、可再生酒精和绿色氨。虽然我们的结果与国际海事组织 2018 年提出的减排目标一致,但其与该机构修订后的目标的兼容性仍需要进一步明确的解释。
Müller-Casseres, E., Leblanc, F., van den Berg, M. et al. International shipping in a world below 2 °C. Nat. Clim. Chang. 14, 600–607 (2024). https://doi.org/10.1038/s41558-024-01997-1
正文
研究背景: 近年来,海运作为全球二氧化碳排放的主要来源之一,约占全球年排放量的 2.8%。国际航运的排放量约占海运排放的 70%,这使得全球气候变化应对策略中,航运脱碳成为一个关键议题。为此,国际海事组织(IMO)制定了一系列政策,旨在提高航运的能源效率,并设定了到 2050 年减少至少 50%温室气体排放的目标。然而,由于船舶依赖化石燃料,单纯的能源效率提升不足以实现深度脱碳。低碳燃料成为航运减排的关键选项,但涉及燃料生产、动力系统和加油基础设施等多方面挑战。
研究空白: 虽然已有少数研究探讨了国际航运脱碳的问题,尤其是在情景分析中,但经济全局集成评估模型(IAMs)对航运的关注较少。尽管 IAMs 模型广泛用于探索气候缓解策略和政策的后果,但航运在这些模型中的表现仍然不足,尤其是在考虑航运减排选项、燃料技术和货运需求方面的细节。IAMs 领域的研究者最近开始关注航运部门,推动了航运减排选项的更全面表示,但对于航运在全球温室气体减排中的作用和影响仍需更深入的分析。
研究概述: 本研究旨在通过 IAM 框架,探讨国际航运在能源载体和二氧化碳排放方面的未来可能性。通过多模型对比分析,结合六个全球 IAM 模型的结果,研究航运减排如何与全球气候目标相匹配。与 IMO2018 和 IMO2023 提出的目标进行对比,本文分析了航运部门在全球变暖防控中的角色。研究还探索了不同 IAM 模型在表现航运减排选项上的差异,特别是低碳燃料和船舶动力系统的选择,以及这些选择对全球温室气体排放情景的影响。通过这些情景分析,研究提供了航运脱碳策略的综合视角,推动了对航运减排政策和目标的进一步理解。
结果
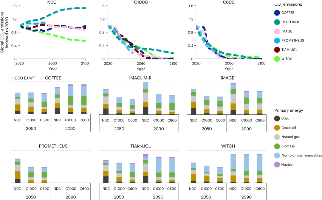
如图2所示,全球排放情景分析显示不同情景间的结果差异总体大于模型间的差异(NDC情景除外),其中IMACLIM-R与WITCH模型的差异尤为显著。这种分歧源于技术路径分类的复杂性——部分传统深度减排路径可能被视为当前趋势的延续,例如WITCH模型在NDC情景中预测2050年风能/太阳能初级能源需求将突破150 EJ年−1,凸显可再生能源电气化在现行政策中的潜力。相比之下,碳预算情景(C1000和C600)呈现更统一的减排模式,其核心策略包括:加速可再生电力部署、遏制森林砍伐、降低能源需求、提升能效以及生物燃料/电子燃料替代化石能源。此外,这两个情景均依赖生物能源碳捕集(BECCS)和直接空气碳捕存(DACCS)等负排放技术的规模化应用(详见补充部分5)。
碳预算情景下航运排放的稳定或下降
在当前政策下(NDC 情景),我们的模型预测国际航运排放将在长期内稳定或上升(图 3),到 2050 年排放值为 0.5–1.4 MtCO2 年−1,2070 年为 0.6–1.7 MtCO2 年−1,2090 年为 0.7–2.0 MtCO2 年−1。从分解的角度来看,这一上升趋势源于航运活动总量的增加,预计在本世纪将持续增长(图 3a)。较高的参考排放与强劲的活动增长和较为悲观的效率假设相关。
如图4所示,在符合《巴黎协定》的情景下,多数模型预测国际航运排放将随效率提升与燃料转换大幅下降。C1000碳预算情景中,2050年航运排放介于0.3-1.1 GtCO2年−1:COFFEE和IMAGE模型因依赖渐进式技术改进,分别显示减排15%和26%,低于IMO2050目标;而PROMETHEUS通过激进燃料替代(如绿氢和氨)与能效优化,实现58%的减排,超越IMO目标和IEA可持续发展情景。IMACLIM-R、TIAM-UCL和WITCH则因模型结构差异呈现排放增长:IMACLIM-R因航运需求内生增长且难以通过价格弹性调节,导致排放上升7%;TIAM-UCL受限于低碳燃料(如生物燃料)供应链发展滞后(主要布局在2050年后),叠加需求高增速,排放激增80%;WITCH则因航运部门仅纳入蓝/绿氢为低碳选项,技术路径单一,排放增长42%。
在更严格的 C600 情景下,减排显著强化:碳预算约束迫使模型加速技术转型,COFFEE 和 IMAGE 通过提升生物燃料渗透率分别实现 34%和 51%的减排,与 IMO 目标一致;PROMETHEUS 则通过 2035 年前淘汰化石燃料船舶,减排 86%至 IEA 净零情景水平;TIAM-UCL 因碳价机制倒逼燃料切换提前,将排放增幅压缩至 26%。两类碳预算情景均显示本世纪后半叶航运排放趋于稳定,这与 2040 年后 BECCS 技术规模化应用相关(补充部分 5)。值得注意的是,IMAGE 模型中 BECCS 的部署挤占了生物质资源,导致航运业被迫使用更高碳强度燃料,反而推升碳强度。尽管碳预算未允许净负排放,但 BECCS 的土地竞争和水资源消耗等实施瓶颈(如生物质供应受限),可能迫使航运部门提前深化电气化或氢能替代,加剧脱碳挑战。
与模型细化程度相关的化石能源转型
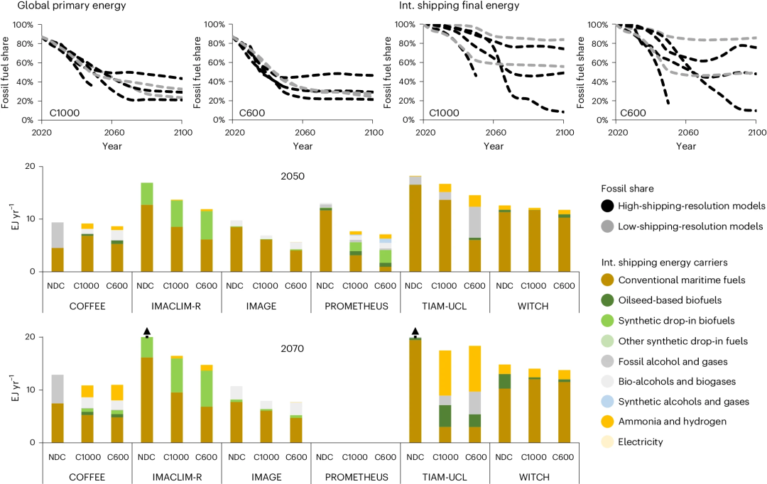
如图5所示,国际航运燃料需求预测呈现显著差异:至2030年需求为9–11 EJ年−1,2050年则分化至7–18 EJ年−1。高能耗情景(如IMACLIM-R和TIAM-UCL的NDC情景)因假设航运活动激增且能效提升有限,2050年需求达16–18 EJ年−1;而低碳情景(IMAGE和PROMETHEUS的C1000/C600)通过燃料替代与能效优化,将需求压降至7–8 EJ年−1,较当前水平下降15–45%,其中化石燃料运输削减是重要驱动因素。值得注意的是,COFFEE模型虽精细刻画煤炭、石油和天然气运输,却未体现显著减排效应,因其策略依赖维持洲际化石能源贸易(优先开发低碳强度资源并淘汰低效产能)。
作为脱碳难点行业,航运在深度减排情景中仍保有较高化石能源比重。C600 情景下,高分辨率模型(如 PROMETHEUS)显示 2070 年航运化石燃料占比 40–51%,而低分辨率模型(如 TIAM-UCL)则达 46–84%。其中 IMAGE 模型独特性凸显:通过激进能源强度削减(2050 年强度降幅达 60%),其 C600 情景下航运能源需求大幅降低,但化石燃料占比仍超 60%,反映该模型更依赖存量船舶能效提升而非燃料彻底转型。这一结果揭示了模型技术细节对脱碳路径设计的深刻影响——高分辨率模型通过细化船舶类型与燃料替代选项,可挖掘更深减排潜力;低分辨率模型则因技术表征不足,易高估化石能源惯性。
与主要能源趋势相关的燃料选择
模型分析揭示了差异化的航运脱碳路径选择,其替代燃料类型与全球能源系统转型趋势深度耦合。TIAM-UCL的碳预算情景依托太阳能与风能激增(2070年达300 EJ年−1),推动电制氨成为主流船用燃料(2070年9 EJ年−1,2090年18 EJ年−1)。相比之下,IMACLIM-R和IMAGE因生物质能占比高(>25%),倾向选择生物醇与费托合成烃,但受制于生物质资源与电力部门BECCS的竞争性需求,其生物燃料渗透率存在上限。COFFEE和PROMETHEUS则呈现多元化能源组合:COFFEE情景中,2040年代优先采用技术成熟的植物油与可再生醇类,本世纪后半叶转向绿氨(3 EJ年−1)和木质纤维素生物燃料(2 EJ年−1);PROMETHEUS通过氨/氢与油料作物燃料的快速迭代,在C600情景下2050年木质纤维素生物能源即突破2 EJ年−1,凸显技术跃迁速度对脱碳节奏的加速效应。模型间的策略分野映射出航运脱碳的技术路线不确定性——电气化驱动、生物燃料优先或氢基能源突破等路径均需匹配更广泛的能源系统重构。
讨论
多模型综合分析表明,在全球温控2°C目标下,国际航运需在未来数十年实现碳排放量稳定或下降,但不同综合评估模型(IAM)对航运能源结构的刻画存在显著分歧。这种差异不仅源于模型对替代燃料选项数量和技术成熟度的不同设定,更深层次地与能源系统转型的结构性偏好(如电气化强度)相关。模型精度受三大要素制约:航运需求预测的颗粒度、能效提升的内生性机制以及低碳燃料生产路径的多样性。具备精细化表征能力的模型(如PROMETHEUS)倾向于预测温和的终端能源需求增长(2050年7–8 EJ年−1)与多元燃料组合策略(绿氨、氢能及生物燃料协同),契合绿色航运走廊的实践逻辑;而技术选项有限的模型则因路径依赖保留较高化石能源占比(2070年最高达84%),可能低估航运业脱碳潜力并过度依赖碳移除技术(CDR)。
从技术替代时序看,短期(2030年前)生物基柴油(FAME、HVO)及醇类燃料(甲醇/乙醇)因与现有发动机兼容性较强成为过渡优选,而绿氨、木质纤维素生物燃料等零碳能源载体将在2050年后占据主导。鉴于船舶技术迭代周期长达20–30年,当前亟需加速布局低碳动力系统、燃料储存及加注基础设施,为2030年后规模化应用可再生能源奠定基础。研究结果与IMO2018减排目标基本协同,C600情景下50%的减排幅度验证了中期目标的可行性;但与IMO2023净零目标对接时存在方法论差异——本研究聚焦直接排放,而IMO纳入全生命周期核算,可能通过BECCS等负排放技术抵消残余化石燃料使用,该机制与模型中的深度减排路径存在兼容空间,但需解决生物质能多部门分配的核算争议。
研究局限性主要体现在三方面:其一,模型假设受限于单一共享社会经济路径(SSP2),未充分考量地缘冲突、市场失灵等非线性冲击对航运需求的扰动;其二,船舶技术演进存在超预期可能性,如能效跃升或船载碳捕集技术的突破可能显著降低能源强度;其三,经济维度分析相对薄弱,碳税机制对货运成本的传导效应、区域公平性等议题亟待后续研究。这些不确定性凸显航运脱碳需采取动态适应性策略,在技术创新、政策设计及国际合作间寻求平衡。
方法
本研究采用六类综合评估模型(IAMs)构建国际航运脱碳路径分析框架,涵盖能源系统优化、宏观经济均衡及气候-经济交互等多维视角。模型体系呈现方法论多样性:COFFEE和TIAM-UCL作为过程优化型模型,分别通过线性规划与成本最优范式刻画航运燃料替代,前者依托31类商品贸易的内生需求驱动,构建十种动力系统与八类燃料的技术组合;后者则以能源商品贸易为内核,基于燃料价格信号引导低碳转型。IMACLIM-R和WITCH侧重经济系统交互,前者通过12部门CGE模型将运费价格纳入航运需求函数,后者以混合建模融合宏观经济最优策略与能源技术细节,但航运模块尚处初级聚合阶段。IMAGE和PROMETHEUS体现系统动力学特征,IMAGE通过运输方式竞争方程模拟六类货运的能源效率演进,PROMETHEUS则细分干散货、集装箱等子行业,内生油轮需求并整合船速优化等多维减排杠杆。
研究设计三类情景揭示气候政策强度差异:NDC情景延续各国自主贡献承诺至2100年,作为无强化气候行动的基准;C1000与C600情景分别施加2020-2100年累计1000/600 GtCO₂的硬性碳预算,且排除负排放技术抵偿。所有情景均基于SSP2中等发展路径,统一人口、经济与技术进步假设,确保跨模型可比性。碳预算约束通过内生碳价机制传导至航运部门,驱动模型在燃料替代、能效提升等技术组合中寻求成本最优解,其中C600情景对应1.5°C温控目标的严格排放上限。这种情景架构既检验现有政策力度下的排放轨迹,又量化深度脱碳对航运能源系统重构的要求,为IMO目标实现提供多模型证据支撑。

