

598
投入产出表
1、数据来源:WIOD、国家统计局
2、时间跨度:世界投入产出表(1995-2014)、全国投入产出表(1990-2018)、31省市区42部门投入产出表(1997-2017)
3、区域范围:42部门
4、指标说明:
投入产出表在二十世纪三十年代产生于美国,它是由美国经济学家、哈佛大学教授华西里·列昂惕夫(W.Leontief)在前人关于经济活动相互依存性的研究基础上首先提出并研究和编制的。
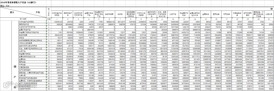
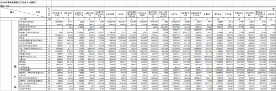
部分数据如下:
省级:

国家:

世界:

相关文献:[1]胡怡建, 李天祥. 增值税扩围改革的财政收入影响分析——基于投入产出表的模拟估算[J]. 财政研究, 2011(9):5.
[2]姜明耀. 增值税“扩围”改革对行业税负的影响——基于投入产出表的分析[J]. 中央财经大学学报, 2011.
[3]董敏杰, 梁泳梅, 李钢. 环境规制对中国出口竞争力的影响——基于投入产出表的分析[J]. 中国工业经济, 2011(3):11.
[4]魏作磊, 胡霞. 发达国家服务业需求结构的变动对中国的启示——一项基于投入产出表的比较分析[J]. 统计研究, 2005, 22(005):32-36.
5、声明:本数据由数据皮皮侠团队整理,仅用于学术研究
数据领取
告诉大家一个小tip!
现在数据皮皮侠官网上
搜素:598
可以免费领取
网址:http://www.ppmandata.cn/
扫码可直接跳转至官网

了解完数据信息
再来给大家介绍
皮皮侠的超值会员服务

数据库会员服务
重磅推出:原创数据库
全新的原创数据库将包含全国地级市的近百条指标,为您的科研带来细致入微的地级市面板数据!
广:
全新设计的爬虫数据库,相比于现有数据库,覆盖内容增加多达3倍,这将造就迄今为止内容最广的经管科研数据库!
深:
全新升级的文本数据库,不仅有历年政府工作报告,上市公司年报,PPP项目数据,更包含中国工商注册企业全信息,海量的文本数据,搭配专业的文本分析团队,让您的数据质量远超同行!
以上内容将在今年冬季陆续推出,敬请期待。
课程平台 (即将推出)
数据库使用权一年

会员社群
课程免费听(即将推出)
查重服务

数据定制化服务
官方网站快捷更方便
皮皮侠会员可以使用官方网站免费下载数据,无需寻找客服下载,附有论坛、数据汇总等,让您在找数据的过程中更轻松!


网址:http://www.ppmandata.cn/
扫码即可进入数据皮皮侠官网

优质数据 (会员专享)
以下数据均为会员专享数据!
更多优质数据 均在皮皮侠会员数据库!
238 最全!省、市、县皆有!北京大学数字普惠金融指数(PKU-DFIIC)2011-2020年
262 全网最新最全!EXCEL地级市面板数据!1990-2019年
265. 3000多指标!省级面板数据&各省官员腐败贪污数据
270 保姆级整理!碳交易、碳排放(分行业、国家、省、市、县)最全数据集
274 产学研专题!区域、企业、地级市创新指标及研发、R&D投入
287 速度收藏!!DEA模型和使用方式大全&DEA与SFA测算全要素生产率数据
298 限时免费!最新年份SDC & Zephyr跨国并购数据库 & A股上市公司并购重组数据
0299 全网最全EXCEL-各国/省/市/县区/企业-省界、港口、海岸线地理距离数据集
317 重磅!市场化指数数据集-市场分割、樊纲、赫芬达尔指数
323 保姆级整理!宏观面板数据!多层面多指标-各省/市/县多维面板数据
325 一带一路专题:人均GDP&经济自由度&地理距离&上百个指标面板数据&一带一路友好城市数据
362 Stata代码、命令-OLS、Heckman、多期DID、固定、中介效应、VAR程序代码、var、pvar
测算数据
0087 中国及各省全要素生产率计算2000-2017基于超越对数生产函数随机前沿法
0101 中国31个省份城镇与农村恩格尔系数1978-2018年
0114 上市公司全要素生产率-原始数据+代码+结果(2000-2019年)
0123 全国各省份-学历结构和计算平均教育年限1987-2019年
0124 HHI赫芬达尔指数行业市场竞争度数据整理(1990-2019年数据)
0126 如何利用python处理《中国工业企业数据库(1998-2014)》
0157 全要素生产率-上市公司&各个省份2000-2019年上市公司\2006-2019年各省
0160 中国能源统计年鉴1986-2019和省级能源结构(含计算步骤)
191 沪深A股融资约束程度SA指数计算Stata代码2000-2019年
216 泰尔指数-省市数据集2010-2019年市\2010-2019年省
221 上市公司竞争度衡量指标-行业集中度指数1990-2020年
260 WITS数据库中国双边进口关税数据&环境规制综合指数
304 实证大全!全配套安装命令、基本回归、数据预处理、调节效应、中介效应
312 中央、省级产业政策匹配数据中央(2001-2020年)和省份(2006-2020年)
317 市场化指数数据集-市场分割、樊纲、赫芬达尔指数(会员特供)
337 制度距离与文化距离数据以及计算方式2003-2018年
349 制度距离与文化距离数据以及计算方式2003-2018年
366 上市公司过度负债数据2005-2019年(附Stata代码)分年Tobit回归
376 产业结构化数据集-高级化、合理化指数2000-2019年(会员特供)
427 地级市绿色全要素生产率-2000-2019(会员特供)
428 资源错配指数及计算代码2000-2019年(会员特供)
530 最全整理!托宾Q数据2003-2020 - 沪深A股上市公司!
555 分省创新效率!含科学技术、专利申请授权量等多指标!内服原始数据
567 最新更新!超详细行业竞争度数据!CR4,6,8,10,包括行业细分
567 最新更新!超详细行业竞争度数据!CR4,6,8,10,包括行业细分
注:未标明“会员特供”的数据,皆为免费数据
非会员限领取15份,一天一份!
地理数据
069 高德人口迁移数据&LandScan全球人口数据2020.1.1-2020.3.31
0163 中国人口网格数据1990、1995、2000、2005、2010
0171 全国GDP网格数据1995、2000、2005、2010、2015
289 中国象数据:气温、气压、露点、风向风速、云量、降水量1942至今
注:未标明“会员特供”的数据,皆为免费数据
非会员限领取15份,一天一份!
环境数据
022 VIIRS/NPP 夜光数据(月数据)2012-2019
286 碳排放效率、分省市污染物排放数据1990-2019年(会员特供)
402 新能源汽车产销数据库、产业链数据、政策补贴梳理、充电桩数据(会员特供)
435 长三角24个城市绿色全要素生产率2011-2019年
注:未标明“会员特供”的数据,皆为免费数据
非会员限领取15份,一天一份!
面板数据
0108 省级公共管理和社会保障、旅游面板数据1994-2019
0165 省市县区层面的各细分行业企业法人单位数量:2010-2019
229 疫情100天全国393个省市人口迁徙数据(近4万样本面板数据)
238 北京大学数字普惠金融指数-省市县2011-2020(会员特供)
265 3000多指标!省级年鉴面板数据&各省官员腐败数据 2000-2019年\1998-2016年(会员特供)
323 宏观经济面板-中国省、市、县域面板数据1.0 2003-2019年(会员特供)
353 中国能源统计年鉴面板数据-分省市主要污染物排放指标!附赠ECXEL2020年中国统计年鉴(免费)
566 最新整理!省级宏观面板数据-多指标多维度1997-2020
580 海关统计:各地级市-进出口与贸易差额(2000-2020)
591 经济面板专题二:全国所有地级市环境污染、企业、公路、固定资产、外商投资-最新面板数据
注:未标明“会员特供”的数据,皆为免费数据
非会员限领取15份,一天一份!
年鉴数据
394 全网最全!中国城乡建设统计年鉴EXCEL!2006-2020年
540 科技统计年鉴、高技术产业统计年鉴(已更新至2021)
注:未标明“会员特供”的数据,皆为免费数据
非会员限领取15份,一天一份!
企业数据
255 上市公司注册地所在省份和城市(更新至2021年5月)
292 上市公司高新企业分类数据、各省对外投资核准企业名录、独角兽公司数据
298 SDC&Zephyr跨国并购数据库&A股上市公司并购重组数据(会员特供)
338 各国上市公司工商指标&上市公司政治关联2004-2019
339 沪深A股上市公司-财务指标、经营指标和发展指标公司上市至2020年
352 重污染行业上市公司名单以及企业绿色专利申请数量数据集(会员特供)
354 上市公司管理层政治关联数据,包含计算过程源代码2008-2019
360 上市公司高新技术企业认定、研发投入、有效专利数据2015-2021年
361 国泰安上市公司数据stata整理结果包含处理过程2004-2019年
365 上市公司是否高科技行业分组整理Stata代码1990-2020年
406 20000+!上市公司环保补助数据2003-2019年
489 更新至2020!上市公司政府补助数据 2003-2020
500 企业金融化数据、绿色金融、碳金融、绿色信贷、债券、运营
527 上市公司共同机构所有权数据-附顶刊《管理世界》数据应用示例
563 最新整理!上市公司环境投资明细!2009-2020年!
注:未标明“会员特供”的数据,皆为免费数据
非会员限领取15份,一天一份!
数据合集
184 31个省市土地数据集-土地出让数据&土地覆盖数据1999-2018
209 国有大型商业银行和全国股份制商业银行绿色信贷合集2014-2020
233 国际数据合集-国际年鉴、WDI数据库1960-2019
242 全球新冠疫情数据集(含疫苗接种数据)2019-2020 (月度)
280 全国、省、产业用电量&城乡储蓄2010-2020\2019-2021\2010-2018
282 省、市、区县Pm2.5浓度&中国环境监测站点空气质量数据
292 上市公司高新企业分类数据、各省对外投资核准企业名录、独角兽公司数据
318 新能源汽车数据库-分类型、地区、级别月度销量2015-2021&进出口数据
325 一带一路专题:人均GDP&经济自由度&地理距离&经济面板&友好城市(会员特供)
488 服务贸易数据集!包含美国服务贸易进出口额数据、服务贸易统计年鉴
494 国际创新专题 含WDI、WGI、创新创业指数 更新至2020
496 社科研究方法汇总:SPSS教程、Maxdea、社会网络分析法、统计调查法、访谈法
510 产业经济专题:产业结构高级化、合理化指数、工业化率、机构水平化及产业升级度
523 碳中和&专利创新专题:低碳专利、各省市县专利(原始文件)
546 更新!分国家、省、行业、一带一路对外直接投资数据&全球投资跟踪数据
注:未标明“会员特供”的数据,皆为免费数据
非会员限领取15份,一天一份!
学习资料
269 stata外部命令大全:面板门槛、系统GMM、空间计量、Pvar、中介效应等
421 详细代码和介绍!stata空间probit、tobit操作命令!
525 超强整理-计量实证代码大全-模型、代码、空间计量、DEA
569 硕士开题模板、博士专家推荐信、科研课题申报模板
570 社科基金数据1991-2021&2022社科基金填报指南
注:未标明“会员特供”的数据,皆为免费数据
非会员限领取15份,一天一份!
其他数据
017 中国及省级市场化总指数及方面指数 2008-2019
032 全球治理数据WGI和城市创新创业指数 1990-2019
040 全球经济自由度指数 1995-2020
092 中国各区县PM2.5数据和全国各区县二氧化碳排放数据2000-2018年
0102 中国31省市区42部门投入产出表1997-2017
0133 289个城市教育与卫生主要指标 1996-2020年
0144 全国291个城市当年实际使用外资金额数据 2000-2018
261 公共财政收入和公职人员数量!附带各国首都距离2012-2019年
268 源代码-论文应用-数据复现-七个计量模型:面板、双门槛、SCC-FE、DID、PSM、RDD
281 超大量数据!政府工作报告!(会员特供)
333 全国省、市、县最低工资标准2012-2021&省、市、县人均GDP合集
363 中国对外投资全球跟踪数据2005年1月-2021年6月
367 个股衍生指标大数据1990-2021年7月30日(日度数据)
392 农业数据,国家一二三产业产值,国家、省、市人均GDP
396 全国分车型月度销量数据2005年1月-2021年5月
430 农村:地级市人均消费与支出数据2002-2019年 (会员专享)
437 企业并购数据集2000.1.1-2020.12.31
439 地级市GDP以及一二三产业增加值数据1995-2020
440 60多万条数据!中国行政村的区划代码以及经纬度2020年版
441 中国经济政策不确定指数 1949-2021.10.26
487 更新至2021年7月!全国地级市月度平均房价!含省市、时间、价格
511 世界65个国家!贸易开放度数据 2005-2019年
513 Stata常用基础代码命令do文件分享:OLS、数据合并、清洗、循环、画图
534 环境经济专题:省市县环保处罚数据及ZF环保补助、上市公司环保支出数据!
536产学研2.0:麦可思大学生就业据、企业创新调查年鉴(含产学研部分)、R&D相关数据等
554 全网最新-最新房价数据集!含地级市350城月度平均房价!2010-2021.12月
560 最新更新!已更新至2022!中国经济政策不确定性指数
572 PSM-DID方法稳健性do文件 高管薪酬对银行风险承担的政策效应
592 截至2022.2.13日:全国356城所有银行网点数据!
注:未标明“会员特供”的数据,皆为免费数据
非会员限领取15份,一天一份!
↓↓↓近期活动:


