
文章导读
1.数据介绍
2.会员介绍
3.数据获取
4.往期数据
万众期待的短期会员
来啦!!
许多粉丝们由于需求问题
给皮皮侠提出了宝贵的意见
希望可以推出短期会员使用
这不!这就来了嘛!
也为了回馈粉丝进行的开学季活动!
2022.2.28-3.3
皮皮侠月度会员
活动价格:98元
原价108¥
皮皮侠半年制会员
活动价格:218
原价268¥
皮皮侠一年制会员
活动价格318
原价398¥
大大减轻了学生党们的压力
也给正在犹豫的小伙伴提供了尝试的机会~
好啦皮皮侠话不多说
奉上购买方式!
一年制会员可直接扫码购买

月度、半年制会员请移步皮皮侠官网
网址:http://www.ppmandata.cn/
或可直接扫码跳转官网哦~
注册完成后点击右上角VIP会员
即可选择购买~

注:购买会员后请添加皮皮侠002微信
有任何会员问题也请直接咨询002

本次活动最终解释权归数据皮皮侠所有

393
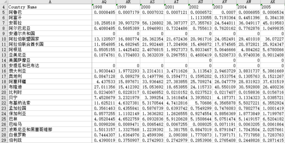
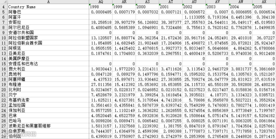
世界各国自然资源租金数据
1、数据来源:世界银行《世界发展指标数据库》
2、时间跨度:1970-2018年
3、区域范围:全球
4、指标说明:
自然资源租金总额是石油租金、天然气租金、煤炭(硬煤和软煤)租金、矿产租金和森林租金之和。
计算参考文献:《改变国富论:衡量可持续发展的新千年方法》(2011年)的数据来源和方法的预估。
部分数据如下:

相关研究:
[1] Lee C C . Energy consumption and GDP in developing countries: A cointegrated panel analysis[J]. Energy Economics, 2005, 27(3):415-427.
[2] Gallo J L . Space-time analysis of GDP disparities among European regions : a Markov chains approach[J]. International Regional Science Review, 2004, 27(2):p.138-163.
[3]R Jiménez-Rodríguez, M Sánchez. Oil price shocks and real GDP growth: empirical evidence for some OECD countries: Applied Economics: Vol 37, No 2[J]. Applied Economics, 2005.
[4] Gallo J L , Ertur C . Exploratory spatial data analysis of the distribution of regional per capita GDP in Europe, 1980-1995[J]. Papers in Regional Science, 2010, 82(2):175-201.
5、声明:本数据由数据皮皮侠团队整理,仅用于学术研究
数据领取
进入网站搜索393
网址:http://www.ppmandata.cn/
现在数据皮皮侠官网上
可以免费领取一次
在网站上显示免费的数据!
扫码可直接跳转至官网

了解完数据信息
再来给大家介绍
皮皮侠的超值会员服务

数据库会员服务
数据库使用权一年
涵盖多个领域热门数据,各类python、stata模型代码,数据挖掘、机器学习、深度学习等电子书500G。数据数量无限扩增,所有数据年份动态更新!时间就是生命!从此不再为找数据发愁,提高你的学术效率!(部分会员通过我们的数据库已经发表数篇论文)
(扫码查看数据库目录)
会员社群
超值附加服务
报名方式


1.
会员特供数据 (仅会员使用)
最全上市公司数据1990-2020(会员免费)
会员特供:全网最全EXCEL-各国/省/市/县区/企业-省界、港口、海岸线地理距离数据集(会员免费)
中国海关统计数据20.4-9
2019年中国村(居)委会及以上行政区划代码数据 (会员免费)
2.
往期数据 (会员无需转发 极速下载)
017 中国及省级市场化总指数及方面指数:2008-2019
022 VIIRS/NPP 夜光数据(月数据)2012-2019
032 1990-2019全球治理数据WGI和城市创新创业指数
038 国家风险国际指南1984-2017&342城固定资产投资额2004-2019
040 全球经济自由度指数1995-2020
042 中国百城月均房价2010-2018&各省外商直接投资额1985-2018
043 地市级创新创业指数1990-2018&中国宏观杠杆率数据1993-2020
047 中国各省GDP2000-2018&中国政治人物公开活动数据库
048 互联网普及率2010-2017&各省平均受教育年限1998-2018
049 城市统计年鉴地市级面板数据&城市建设统计年鉴&地市级区划
050 和讯网上市公司社会责任指数2010-2019&润灵环球社会责任评级
068 国土资源统计年鉴&中国林业统计年鉴1992-2019
347 最新最全!和讯网社会责任指数!超详细指标!最新年份(免费)
349 最新面板数据-中国统计年鉴2011-2020-多维度多指标(免费)
350 最新版各国制度、文化距离-原始数据+测算数据(免费)
353 中国能源统计年鉴面板数据-分省市主要污染物排放指标!附赠ECXEL2020年中国统计年鉴(免费)
354 上市公司高管政治关联数据!代码-计算过程-原始数据(免费)
362 Stata代码、命令-OLS、Heckman、多期DID、固定、中介效应、VAR程序代码、var、pvar(免费)
363 中国对外投资全球跟踪数据-已更新2005-2021(免费)
365 上市公司是否高科技公司分组数据-附stata代码(免费)
366 上市公司过度负债数据计算-计算公式、参考文献、计算公式、计算结果(免费)
372 推荐收藏!所有社科CSSCI投稿邮箱-CSSCI源刊、CSSCI辑刊和CSSCI扩展板(免费)
374 外商直接投资数据(FDI)世界、全国、省、市、自治区-更新至2020(免费)
380 300个城市!中国统计年鉴面板-各城市绿地面积1994-2019(免费)
381 Stata 16全套学习资源-视频、命令教学(免费)
382 更新至2020-各省、市转移支付数据集-分专项转移支付、一般转移支付、税收返还(免费)
389 LMDI(对数平均迪氏指数法)模型!含stata代码(免费)
390 CoVaR计算手册-动态CoVaR模型-数据、代码、步骤(免费)
↓↓↓近期活动:


