
近日,来自北京大学的黎志敏,与美国波士顿联邦储备银行的Leslie Sheng Shen和美国费城联邦储备银行的Calvin Zhang于2023年8月在金融学国际顶级期刊《The Review of Financial Studies》上联合发表论文“Local Effects of Global Capital Flows: A China Shock in the U.S. Housing Market”。

【摘要】本文主要研究外资流入对我国房地产市场的实际影响。使用交易层面的数据,我们记录了(i) 2008年之后外国中国人购买激增的美国房地产市场的“中国冲击”,以及(ii)这些购买中的“本土偏见”,因为他们集中在历史上由华人居住的社区。利用它们的时空变化,我们发现这些资本流入提高了当地就业,并通过住房净值渠道传递了这种效应。然而,他们取代了当地低收入居民。我们的研究结果表明,房地产资本流入既可以刺激实体经济,也可以诱发中产阶级化。
【原文链接】https://doi.org/10.1093/rfs/hhad067
一、数据选取及处理
1.1数据选取
本文从DataQuick获取了住房交易记录数据,重点关注了2001-2013年美国加利福尼亚州三大核心统计区域(包括17个县和773个邮政编码)的独栋住房交易。
1.2数据处理
为了克服数据的局限性,本文利用交易数据设计了一个“三步算法”来估算外国住宅购买量,同时构建了两个测度指标:外国住房交易价值(fHTV)和外国住房交易数量(fHTC),以此来捕捉七类外国人群体(中国、欧洲、西班牙、印度、日本、韩国、俄罗斯)住宅地产资本流入的集约边际和广延边际。“三步算法”具体如下:
第一步,参考Kerr(2008)、Kerr(2008)、Kerr and Lincoln(2010)的民族名称匹配算法,根据名字和姓氏来识别样本中购房者的民族,本文只保留了七个非英美民族的住房交易数据。
第二步,仅保留非英美裔美国人进行的所有住房现金交易,因为外国人进入美国抵押贷款市场的机会有限。
第三步,将样本限制为非英美裔美国人的所有住房现金交易,这是识别外国购买者住房交易的一个必要但不充分的条件,因为样本可能仍然包括居住在美国的非英美裔美国人的住房交易,因此本文选择仅保留非居民住房交易。
对于t年里处于邮政编码为z的区域的外国人群体f而言,fHTV的计算方法如下所示:

对于t年里处于邮政编码为z的区域的外国人群体f而言,fHTC的计算方法如下所示:

二、模型框架
2.1 模型设定及初始均衡
本文考虑一个由两区域组成的经济体,z∈{0,1},每个区域生产两种商品:不可贸易型(用上标N表示)和可贸易型(用上标T表示),并有固定的住房存量(Hz=H)。可贸易型商品可以在不同区域被自由交易,但每个区域的居民必须消费当地生产的不可贸易型商品。工人被允许在一个区域内的部门之间调换工作和在区域之间通勤。为简化模型,本文设定均衡房价取决于当地工人对空间的需求与住房的固定供给。
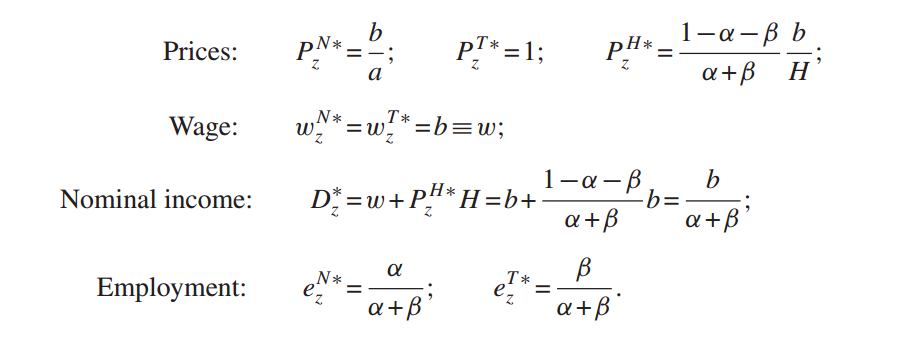
随后,本文基于一组对称的假设求解了该模型,认为在初始状态下,当地经济自给自足,实现了充分就业,所有工人在其居住地工作和消费(即没有通勤),所得均衡的价格、工资、产出、就业如下所示:

其中α、β、1-α-β分别是不可贸易型商品、可贸易型商品、住房所占的收入份额;a、b是生产率参数。
2.2 住房资本流入冲击下的均衡
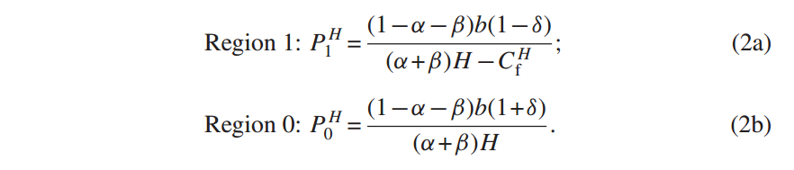
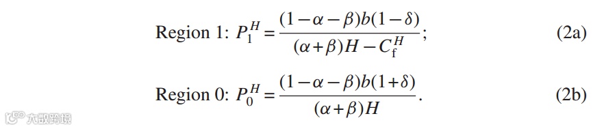
本文将住房资本流入冲击视为住房需求冲击,假设区域1出现了外国人住房需求的外生增加,导致住房资本流入激增。区别于初始状态,现在工人被允许跨区域通勤,从区域0通勤到区域1工作,并承担相应的通勤成本;工人被允许在居住的区域0消费一部分商品,在工作的区域1消费另一部分商品。在新的假设情形下,文章求解出两个区域的住房市场出清条件如式(2a) (2b)所示:

其中δ∈[0,1]表示来自区域1的可以选择住在区域0并通勤到区域1工作的工人占比。
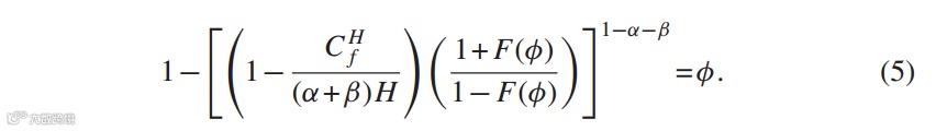
如果满足
,即以通勤为条件的实际工资更高(或是区域1中住房价格更高),工人将会选择通勤(表示个人的通勤成本)。让的临界值为,如果
,工人将会选择通勤,通勤的均衡工人数量为
。于是进一步求解得(5)式:

该式子表明,外国人住房需求冲击增加了通勤的工人数量。
上述四个式子共同决定了两个区域的均衡住房价格以及通勤的均衡工人数量。
2.3 就业效应
本文重点分析了外国人住房需求冲击对当地就业的影响及其潜在的影响渠道。在均衡情形下两个区域的非贸易部门的就业:

式(6a)表明,外国人住房需求冲击通过两种方向相反的力量影响区域1的非贸易部门就业。式(6b)表明,外国人住房需求冲击通过两种方向相同的力量增加了当地非贸易部门的就业。
2.4 模型预测
预测1:正向的外国人住房需求冲击增加了直接受影响区域的就业。
预测2:就业效应是由住房净值渠道驱动的:外国人住房需求的增加导致当地住房价格上涨。
预测3:就业效应还受到替代渠道驱动:外国人住房需求的增加导致当地居民迁出增加。
预测4:就业效应主要出现在非贸易部门,以住房净值渠道为主导渠道。
三、实证设计
3.1 基线回归
在上述模型框架指引下,本文估计了一个如下所示形式的经验模型:

其中表示邮政编码z和年份t对应的结果变量;
表示外来的中国人在美国住房市场上的住房交易价值;
表示外来的中国人在美国住房市场上的住房交易数量;当年份为2008年或更晚时,
取值为1,该变量旨在捕捉美国住房市场里“中国冲击”出现的时间;
控制了邮政编码层面的社会经济和地理因素,比如人口、人口密度、教育水平等;表示县-年份固定效应。
3.2 主要实证结果
(1)外来的中国人购买住房对当地劳动力市场有着显著的正向影响。

(2)外来的中国人住房需求每增加1%,当地机构数量将分别增加0.128%(按住房交易价值衡量)和0.236%(按住房交易数量衡量)。

四、重要结论
4.1外来的(尤其是来自中国的)住宅地产资本流入对美国住房市场会产生实际影响。
4.2基于中国住宅地产资本流入的时空变化,这些资本的流入增加了美国当地就业尤其是非贸易部门的就业,而这一就业后果出现的背后存在两种作用方向相反的渠道:住房净值渠道和替代渠道,其中住房净值渠道是主导的影响渠道。
4.3来自中国的住宅地产资本流入推高了美国当地住房价格,导致当地住房净值增加,进而刺激了对当地非贸易商品的需求和非贸易部门的就业。但与此同时,外来的中国人住房需求增加迫使当地居民(尤其是低收入居民)迁出,造成了潜在的不利分配后果。


