原文信息:
Thomas J. Chemmanur, Yao Shen, Jing Xie,Innovation beyond firm boundaries: Strategic alliances and corporate innovation,Journal of Corporate Finance,Volume 80,2023,102418,ISSN 0929-1199,https://doi.org/10.1016/j.jcorpfin.2023.102418.

一、引言
本文深入探讨了创新对于企业成长和国家经济发展的关键作用。创新不仅是企业在竞争激烈的市场中保持竞争力的核心驱动力,也是推动国家经济持续增长的重要因素。然而,现有文献主要集中在孤立的组织和财务因素对企业创新的影响,忽视了企业间合作对创新的潜在影响。
本文的研究旨在填补这一空白,探讨战略联盟对企业创新的影响。战略联盟是指两个或多个企业通过合作,共享资源和能力,以实现共同目标的行为。通过战略联盟,企业可以获得外部资源,如技术、知识和市场渠道,从而增强其创新能力。然而,联盟也可能带来一些负面影响,如搭便车行为和创新激励的减少。因此,本文提出了三个主要研究问题,以深入探讨战略联盟对企业创新的影响。
首先,本文探讨企业通过形成战略联盟是否能在提升其企业创新产出方面受益。具体而言,研究将分析企业在形成战略联盟后,其专利数量和质量是否有所提升。其次,本文探讨哪些类型的CEO和企业在将与研发相关的战略联盟转化为更好的创新成果方面更有效。不同的领导风格和企业特征可能会影响联盟的成功与否,因此本文将分析这些因素对创新成果的影响。最后,本文探讨通过哪些渠道,战略联盟的形成能够增强联盟伙伴的创新成功。可能的渠道包括知识共享、资源整合和市场扩展等。
引言部分还提到,关于联盟形成对创新影响的学术和实践文献中存在争论。一方面,一些学者认为,战略联盟可以为企业提供创新所需的外部资源,如技术、知识和市场渠道,从而增强其创新能力。另一方面,另一些学者则认为,联盟可能导致如搭便车行为和创新激励减少等问题,从而对创新产生负面影响。因此,本文旨在通过实证分析,探讨战略联盟对企业创新的实际影响。
本文的研究重点是与研发相关的战略联盟及其对企业专利数量和质量的影响。通过分析大量企业数据,本文将揭示战略联盟在企业创新中的作用,并为企业管理者和政策制定者提供有价值的见解和建议。
二、与现有文献的关系
本文对现有文献的三个主要方面做出了贡献:
1.企业组织形式与企业边界:
本文扩展了关于战略联盟如何塑造企业边界并积极影响企业增长的研究。例如,Johnson和Houston(2000)发现,横向合资企业创造的协同效应由合作伙伴共享,而纵向合资企业则有利于供应商。Chan等(1997)建议,形成战略联盟与正向的股票市场反应和更好的长期经营绩效相关。Robinson(2008)认为,战略联盟通过促进在事前无效的情况下放弃“赢家挑选”来解决内部资本市场中资源分配的合同问题。本文通过实证分析,研究了通过形成与研发相关的战略联盟扩展企业边界如何影响合作研究成果。
2.研发相关战略联盟成功的横截面差异:
本文有助于理解研发相关战略联盟中竞争与合作的相互作用。例如,D’Aspremont和Jacquemin(1988)认为,当溢出效应足够高时,研发合作有助于改善企业的创新成果。Lahiri和Narayanan(2013)研究了一组公开交易的半导体公司,发现与垂直整合公司相比,垂直专业化公司在增加联盟组合规模时能更好地提升创新绩效。Adegbesan和Higgins(2010)解释了生物技术研发联盟中联盟内部价值分配的差异,基于潜在合作伙伴的相对稀缺性、优越的互补性和谈判能力。Asgari等(2017)表明,其他合作伙伴的实际或感知竞争威胁可能导致一些生物制药公司终止其联盟。本文通过研究CEO特征对研发联盟效率的调节作用,丰富了这类文献,发现当CEO具有更多一般管理技能时,企业会产生更多专利。
3.企业创新的决定因素:
本文还对企业创新决定因素的广泛文献做出了贡献。现有实证研究表明,各种市场层面和企业特定因素影响管理者投资创新的激励。然而,这些研究大多忽略了来自企业边界外的研究投入,除了通过并购获取创新和过去研发成功的研究。本文通过关注与研发相关的战略联盟对企业创新的影响,特别是通过共享创新成果权利的共同专利机制,填补了这一空白。
总体而言,本文提供了战略联盟如何影响企业创新的新见解,强调了外部合作的重要性以及CEO特征在最大化此类联盟收益中的作用。
三、假设发展
在“假设发展”部分,论文提出了关于战略联盟如何影响企业创新产出的不同观点,并据此提出了三个主要假设:
1.假设1a(H1a):战略联盟的形成与联盟伙伴的创新数量和质量正相关。理论模型表明,通过更好的激励对齐和更高效的资本分配,研发相关的战略联盟对创新有积极贡献。
假设1b(H1b):战略联盟的形成与联盟伙伴的创新数量和质量负相关。团队道德风险理论预测,联盟的形成会扭曲创新激励,并对创新成果产生负面影响,例如搭便车行为和内部沟通缺乏导致的延迟。
2.假设2(H2):由具有较高一般管理技能的CEO领导的企业,通过与其他企业形成研发相关的联盟,在创新产出方面受益更多。多面手CEO更善于识别和合作战略联盟伙伴,利用其一般管理技能生成更高数量和质量的创新成果。
3.假设3(H3):如果两个形成联盟的企业有共同的机构大股东或具有更高的技术接近度,研发相关战略联盟的形成会带来更多的创新产出。共同的机构大股东有助于对齐合作企业的利益,而技术接近度有助于促进知识转移和创新。
这些假设旨在探讨战略联盟在不同情境下对企业创新的影响,特别是考虑了CEO特征、机构大股东和技术接近度等因素。

四、数据和样本的总结
在“数据和样本”部分,论文描述了用于分析的数据和样本,并提供了主要变量的汇总统计数据。
4.1 样本选择
样本包括1991年至2003年期间在美国上市的公司。选择1991年作为样本期的起点,因为1989年之前与研发相关的战略联盟较为稀少。为了更好地观察与研发相关的战略联盟对创新的影响,跳过了前几年的数据(战略联盟数据自1985年开始提供)。由于专利数据的可用性,样本期截至2003年。专利和引用信息来自NBER专利数据库的最新版本,该数据库涵盖了1976年至2006年间超过320万项专利授予和2360万次专利引用。专利只有在最终授予后才会被纳入数据库。此外,专利申请和授予之间平均有两年的滞后。由于2004年至2006年申请的一些专利可能不会出现在数据库中,因此样本期截至2003年。为了应对潜在的时间截断问题,在回归分析中包括了年份固定效应。
为了计算控制变量,收集了来自Thomson Financial SDC Platinum Strategic Alliances and Joint Ventures数据库的战略联盟信息、Compustat的财务报表项目、Thomson’s CDA/Spectrum数据库(13F)的机构持股数据以及来自Center for Research in Security Prices (CRSP)的股票价格信息。样本选择过程最终得到41,141个用于基线回归分析的公司年度观察值。
4.2 变量测量
创新成果的测量:
主要因变量是1991年至2003年样本期内的数据。由于专利数量和引用的右偏分布,按照文献中的做法,将因变量测量为专利数量或引用次数加1后的自然对数(在计算自然对数时加1是为了避免丢失专利或引用为零的公司年度观察值)。创新的第一个衡量指标是Log(1 + # Pat),即公司在t+1年提交的专利总数的自然对数。由于专利创新在技术和经济重要性上差异很大,第二个衡量指标是Log(1 + # Citation),即在给定年份申请的专利最终收到的引用总数的自然对数。这是一个复合指标,既捕捉专利数量,也捕捉每项专利的引用数量。由于样本结束年份附近创建的专利积累引用的时间较少,按照现有创新文献的方法,对引用指标进行了调整,以减轻引用次数的截断偏差。
战略联盟的测量:
本文关注至少涉及一家美国上市公司的战略联盟。Thomson Financial SDC Platinum Strategic Alliances and Joint Ventures数据库自1985年开始覆盖联盟,但早期(直到1990年)的覆盖范围有限。主要自变量Log(1 + #RDA)定义为公司在测量因变量之前的五年窗口期(即[t-4, t])内形成的与研发相关的战略联盟总数加1后的自然对数。此外,在稳健性测试中,构建了四个替代解释变量,以捕捉公司参与与研发相关的战略联盟的情况,即公司在过去五年内形成的联盟网络中的中心性。
其他变量:
为了测量一般管理技能,使用了Custódio等(2013)开发的General Ability Index (GAI),该指数自1993年起可用。该指标包含CEO职业经历的五个方面:过去的职位数量、公司数量、工作过的行业数量、是否在不同公司担任过CEO职位以及是否在多元化公司工作过。一般管理能力指数是这五个代理变量的主成分分析的第一个因子。按照Custódio等(2013)的做法,构建了GeneralistCEO作为虚拟变量,如果CEO在某一年中的GAI高于中位数,则取值为1,否则为0。
4.3 汇总统计
表1的A部分总结了基线分析中使用的主要变量。在转换前报告了对数转换变量的原始值。最终样本中的平均公司每年提交10.4项专利,这些专利总共收到173.3次引用。样本中的平均公司在t-4到t年间建立的与研发相关的战略联盟数量为0.355。按照创新文献的方法,控制了可能影响公司未来创新生产率的公司和行业特征变量。这些变量包括规模、研发支出、资本支出、ROA、公司年龄、有形资产、杠杆率、Tobin’s Q、股票流动性、机构持股、KZ指数、赫芬达尔指数和市场份额。样本中的平均公司总资产对数为50.6亿美元,ROA为3.9%,PPE比率为25.1%,杠杆率为15.4%,Tobin’s Q为2.25,公司自IPO以来的平均年龄为13.809年。



五、实证测试与结果的总结
在“实证测试和结果”部分,论文通过一系列回归分析和差异分析,探讨了与研发相关的战略联盟对企业创新产出的影响。
5.1 基线实证分析
研究首先通过回归模型评估了与研发相关的战略联盟是否增强或阻碍了企业创新。结果表明,企业在过去五年内形成的与研发相关的战略联盟数量与其创新产出(专利数量和引用次数)之间存在显著的正相关关系。具体而言,过去五年内与研发相关的战略联盟数量每增加一个标准差,企业在下一年提交的专利数量和专利引用次数的对数分别增加0.054和0.134单位。
5.2 横截面分析
研究进一步探讨了CEO特征和企业特征对研发相关战略联盟效果的异质性影响。结果显示,具有较高一般管理技能的CEO领导的企业、积累了更多早期联盟经验的企业以及在研发密集型行业中运营的企业,通过与其他企业形成研发相关的联盟,在创新产出方面受益更多。
5.3 识别策略
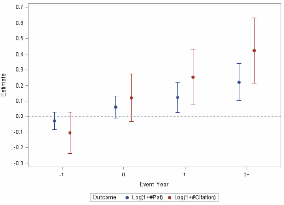
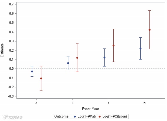
为了缓解潜在的内生性问题,研究采用了两种识别策略。首先,使用倾向得分匹配方法,比较成功形成联盟的企业与未形成联盟的企业的创新产出变化。结果表明,形成联盟的企业在联盟形成后,创新产出显著增加。其次,研究比较了宣布但未能完成联盟的企业与成功完成联盟的企业的创新产出,结果同样支持战略联盟对企业创新的正向因果影响。
5.4 共同专利机制
研究首次在文献中记录了联盟伙伴通过共同专利共享创新成果的机制。共同专利是指有多个受让人的专利,是研发合作的直接证据。结果表明,与研发相关的战略联盟显著增加了企业共同专利的数量和质量。
5.5 稳健性检验
研究进行了多项稳健性检验,结果表明,与研发相关的战略联盟对创新产出的正向影响在不同的创新衡量标准、时间窗口和样本子集下均保持稳健。
总体而言,本文的实证测试和结果表明,与研发相关的战略联盟通过促进知识转移和资源共享,显著增强了企业的创新产出。

六、总结
本文分析了战略联盟对企业创新的影响,并探讨了战略联盟促进创新的渠道。其主要发现如下:
正向关系:企业形成的与研发相关的战略联盟与其后续创新成果(以提交的专利数量和质量衡量)之间存在正向关系。
CEO和企业特征的影响:具有较高一般管理技能的CEO领导的企业、积累了更多早期联盟经验的企业以及在研发密集型行业中运营的企业,通过与其他企业形成研发相关的联盟,在创新产出方面受益更多。如果两个联盟伙伴有共同的机构大股东或具有更高的技术接近度,研发相关战略联盟的形成会带来更好的创新成果。
因果关系:通过倾向得分匹配方法,我们比较了形成战略联盟的企业与未形成联盟的企业的创新产出变化,确立了战略联盟形成与企业创新之间的正向因果关系。我们还补充了工具变量分析和未能形成研发相关战略联盟的企业的分析,进一步支持了这一因果关系。
共同专利机制:我们首次在文献中记录了联盟伙伴通过共同专利共享创新成果的机制。共同专利是指有多个受让人的专利,是研发合作的直接证据。结果表明,与研发相关的战略联盟显著增加了企业共同专利的数量和质量。
总之,本文的研究表明,通过促进知识转移和资源共享,与研发相关的战略联盟显著增强了企业的创新产出。

