本次数字经济大合集2.0版本包含以下数据:
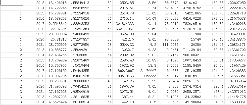
1.省级数字经济测算指标及发展指数
2.地级市数字经济测算指标及发展指数
3.企业数字化转型
4.企业数字经济化指标
5.数字经济工具变量汇总
6.全国各省、市数字化关注度数字化词频比例统计
7.数字经济政策文件大全
8.各省、地级市匹配上市公司数据、城市数字化指数
9.全国各省、地级市数字经济专利
10.中国数字经济发展白皮书
1.省级数字经济测算指标及发展指数来源于《中国统计年鉴》、《中国第三产业统计年鉴》、《中国信息产业统计年鉴》、各省统计年鉴和国家统计局
2.参考赵涛(2020)的研究方法进行整理,全部数据来自于各省份统计年鉴和地级市统计年鉴
3.参考吴非(2021)的研究方法,对相关词频进行统计得出
4.企业数字经济化指标参考祁怀锦等(2020)的研究以上市公司财务报告附注披露的年末无形资产明细项中与数字经济相关部分占无形资产总额的比例作为代理变量
6.全国各省、市数字化关注度数字化词频比例统计根据中央、各省政府的工作报告和文件中抓取与“数字经济”相关的关键词进行统计得出
7.数字经济政策文件大全来源于中央、各省政府的工作报告和文件
8.各省、地级市匹配上市公司数据、城市数字化指数数据来源于各个统计年鉴和上市公司年报。
9.全国各省、地级市数字经济专利参考孙勇等(2022)的做法,参照《浙江省数字经济核心产业统计分类目录》,确定计算机通信和其他电子设备制造业、电子信息机电制造业、专用电子设备制造业、大型广播电视和卫星传输服务业、互联网及其相关服务业、软件和信息技术服务业、文化数字内容及其服务业等 7 大类 128 小类行业作为数字经济核心产业统计范围。进一步参照国家统计局发布的《国际专利分类与国民经济行业分类参照关系表(2018)》,对数字经济对应的国际专利分类号进行统计,得到全国各省份、地级市 1985-2022 年数字技术专利数据。
1.省级数字经济测算指标及发展指数(1990-2021)
2.地级市数字经济测算指标(2011-2019)
3.企业数字化转型(2009-2019)
4.企业数字经济化指标(2007-2020)
5.数字经济工具变量汇总(2010-2022)
6.全国各省、市数字化关注度数字化词频比例统计(2011-2021)
7.数字经济政策文件大全(2021-2024)
8.数字经济指标构建-各省、地级市匹配上市公司数据、城市数字化指数(2017-2022)
9.全国各省、地级市数字经济专利(1985-2022)
10.中国数字经济发展白皮书(2017-2023)
全国各省份、地级市、和A股上市公司

[1]黄群慧,余泳泽,张松林.互联网发展与制造业生产率提升:内在机制与中国经验[J].中国工业经济,2019,(08):5-23.
[2]孙伟增,郭冬梅.信息基础设施建设对企业劳动力需求的影响:需求规模、结构变化及影响路径[J].中国工业经济,2021,(11):78-96.
[3]陶长琪,丁煜.数字经济政策如何影响制造业企业创新——基于适宜性供给的视角[J].当代财经,2022,(03):16-27.
[4]金灿阳,徐蔼婷,邱可阳.中国省域数字经济发展水平测度及其空间关联研究[J].统计与信息论坛,2022,(06):11-21.