上周《在深圳,没考上普高的孩子该何去何从?》发出30S不到,就有三位妈妈添加小客服咨询自己孩子的情况是否可以转入A-Level课程。他们中有的刚刚中考完,有的即将进入疯狂的高三,有的从初中开始偏科,有的想进入更好的大学。
很庆幸因为一篇文章让家长们了解到了升学的另一种方式,也让孩子的未来有了更多的可能。但是其实除了A-Level和高考的区别之外,家长也想更多地了解A-Level的课程内容和考试方式。
与国内高考不同的是A-LEVEL只需要两年就可以读完:第一年是AS阶段,第二年是A2阶段。学生只需要选择3-4个科目,可以根据个人兴趣和能力选择,做到扬长避短。A-Level的学科内容广而不深,更容易取得好的成绩。但国内高考分文理科,科目是规定好的,不能自选,内容尖专深难,一个不小心就避免不了偏科的现象。
中英学制对比
上周文章一出,一位家长找到我们,孩子是准高二学生,语文成绩较弱,偏科严重,数学英语都在130分以上,唯独语文每次都徘徊在及格边缘,这让她很是担忧,害怕因为偏科问题导致孩子上不了好大学,不知道现在转读A-LEVEL国际课程是不是太晚了?
此情此景,只想说,众里寻他千百度,蓦然回首,A-LEVEL却在灯火阑珊处~
国内基础教育时间紧任务重,为了更好的应对高考,很多学生在高一阶段就学了许多高二的课程,像这位单科成绩优秀但偏科严重的准高二学生,这时候选择读A-LEVEL真是个明智的选择,既可解决偏科问题,又能自由选择自己擅长的科目,拿到好成绩,冲刺牛津剑桥,都是大有可为。
国内高中读3年,一考定终身。所学科目固定,不能灵活选择,语文,数学,英语为必学科目。据统计,2019年全国高考适龄人口1909万人,985/211院校总录取率却不足2.5%。
而A-LEVEL国际课程,有70多门学科,包含数学,进阶数学,物理,化学,生物,社会生物学,商学,经济学等,学生只需要在这些课程里面选择自己最擅长的3-4门学习即可。
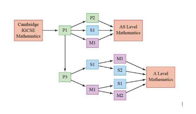
像A-LEVEL基础数学和进阶数学(也叫高等数学,简称“高数”)。在内容上基础数学和进阶数学有连续性,但这两门是独立的课程。A-LEVEL体系中,难度比国内的简单很多。中国学生在数学学科上就有很大的优势,一般都会选择基础数学,在理科方面有特长的学生,还会选择进阶数学。近几年,A-LEVEL数学考纲比较稳定,纯数的题目难度越来越小。以CIE考局(下面详细介绍考局)大纲基础数学为例,课程涵盖:纯粹数学(P1、P2、P3),概率统计(S1、S2),机械数学(M1、M2)。不同的考试局内容会有一些细微的区别。
CIE考局数学学习内容
CIE考局数学考试大纲
A-LEVEL有四个主流考试局,包括CIE、Edexcel、AQA和OCR。国内的考试局CIE和Edexcel两个会比较多,也有少许的AQA,英国小伙伴选择Edexcel、AQA和OCR考局比较多。它就像我们国内高考不同省份出题的地方,不同的考试局有不同的课本和考纲,难易程度,考试时间有所不同,就像国内高考的:广东卷,上海卷,北京卷,湖北卷一类的,而每个位置出题的设置会不太一样,有的选择题占比多一些,有的陈述题占比多一些。不管是参加哪个考试局,掌握扎实的基础才是王道!
主流考试局介绍
A-LEVEL成绩是等级制,分为A、B、C、D、E、U六个等级。改革后,A-LEVEL课程的总成绩=两年A-LEVEL课程后的大考成绩包含两年的课程内容。AS阶段,成绩由a、b、c、d、e、u构成,如果有AS成绩,可以用AS成绩进行加上预估成绩申请心仪学校;如果没有AS成绩,可以用直接用学校预估的成绩进行申请。但是想要申请好学校,AS的成绩还是非常必要的。
按照百分制来看,E等级相当于百分制的40分,刚刚及格的成绩,而只要达到这个成绩,就可以申请英国的大学。很多情况下,获得3门C的成绩,就可以进入英国一般的大学读学位课程;而获得三门B的成绩,则有可能进入英国前20的大学;如果能获得三个A,将有机会进入英国前10的名校。
在刚发布的QS世界大学排名,中国有6所大学进入世界前100,而英国却有15所上榜。而在国内,每门功课考80分以上,只能上国内普通本科学校,而在英国,你可以进到爱丁堡大学、曼切斯特大学、伦敦大学国王学院等世界名校。
像文中说的那位准高二学生,能在国内拿到130分以上的分数,在A-LEVEL体系中,拿到A甚至是A*是相对容易的,而对于世界前100的名校,伦敦大学学院(UCL)世界排名第八,ABB的成绩就可以申请建设项目管理专业。相比较于高考,这个难度是不是小了很多?
综合上周家长们提出的疑虑,小编已经为大家整理出来了,希望可以帮助到大家深入了解A-LEVEL国际课程,助学生们收获世界顶尖大学:
1
我家小孩各科成绩很平均,都是刚刚过及格线,马上升高一了,现在还能学A-LEVEL国际课程吗?
可以的。A-LEVEL课程适用于年龄在15岁以上,初中毕业的中学生或在校高中生。参与国际学校的国际考就可进入。
2
A-LEVEL国际课程,对英语要求高吗?
从学习过程来看,对英语的要求弹性较大。像经济学,商学等文科学习,对英语要求较高。在牛剑教育,一般授课,会根据学生的实际情况调整授课过程中英语的比重,保证学生听得懂、跟得上,也能保证在课堂中英语得到一定的提高。
3
学习A-LEVEL国际课程,国内学生一般选择哪些科目?
数学是国内孩子一般都会选择的科目。因为国内小学、初中教育的优势,数学对于大部分中国孩子来说,相对简单,甚至有一些孩子也会选择进阶数学。物理,经济,商务,化学这些里面会选择2-3门来学。例如学医学的,就需要学习化学和生物学。具体学习哪些科目,是因人而异的,还是要根据孩子的兴趣能力以及未来的规划等,来综合选择。
4
如果学习A-LEVEL国际课程,考试发挥失常了,是不是也没好大学读了呢?
其实不然。相比于“一考定终身”的国内高考,A-LEVEL考试不受次数限制,每一门都可以多次报名,直到考出自己满意的成绩为止,而且最终申请学校的时候,会以最高的一次成绩为准,是非常人性化的。
5
学习A-LEVEL国际课程,可以上哪些大学呢?
A-LEVEL成绩在国际上的认可度很高,世界各地的160多个国家,超过11000所大学都认可。A-LEVEL成绩不仅可以申请英国大学,还可以申请美国,澳洲,新加坡,加拿大,香港等的大学。例如英国G5都是可以凭A-LEVEL成绩申请的。
6
像世界排名前20的学校,对A-LEVEL成绩的要求是什么呢?
我们以英国进入前20的大学为例,剑桥大学要求:A*A*A,牛津大学A*A*A, 帝国理工大学A*AA – AAA,伦敦大学学院AAA、伦敦政治经济学院A*AA、华威大学AAB、杜伦大学AAB。按照百分制看,每门成绩在80分以上,就有机会申请到世界一流大学。
7
A-LEVEL课程体系,是在帮孩子设计人生?
是的。试想如果让孩子在国内高考的“独木桥”上“挤”,非常辛苦,即使考取了大学,他们中学生时代的快乐又在哪里呢?此外,很多孩子在高考填报志愿时,处于十分懵懂的状态,有的虽然考入了大学,可是专业并不适合自己,因此,在大学阶段就缺乏兴趣和主动性,浪费了不少金钱和精力,也无助于国家的人才培养。当前,教育已具有了全球化的观念,家长给于孩子的不应该仅是财产,而应该是提供一个更为广阔的发展空间。A-Level的教学体系就可以让学生在一个比较宽泛的学科范围内,依据自己的智力和兴趣去选择、设计自己的快乐人生。
以上是家长们有疑虑的问题
小编在这里给大家做了详细解答
若还有关于A-LEVEL不清楚的问题
欢迎和小K留言互动哦
等你来撩~

关于牛剑教育
牛剑教育科技(深圳)有限公司成立于2015年,是国际教育领域最具影响力的品牌之一。
牛剑教育多年来一直致力于A-Level及IGCSE国际课程的专业培训,辅导的科目包括数学、物理、化学、生物、经济、商务、地理及历史等多门学科。
除常规国际课程培训以外,牛剑教育还提供英系国际初高中衔接课程,英国G5名校STEP、MAT、PAT、TSA、牛剑面试等附加考试辅导课程,同时还提供个性化的各类国际学术竞赛辅导课程。
牛剑教育目前共有3个校区,总部位于深圳福田CBD,珠海香洲区、佛山顺德区设有分校,教学面积总计1200平方以上。
联系我们
深圳总部:(0755)8323 6354
福田区福华一路华安保险大厦1605
佛山分部:(0757) 2667 8757
佛山市顺德区碧桂园校区正苑南二路1号
珠海分部:13414008070
珠海市香洲区珠海大道天朗海峰2栋909
咨询电话:400-699-1979
官网:http://www.ox-bridge.org/

