毒瘤我又又又来了
首先
非常感谢在座的各位为老师们的板书投票
以及对我们COURSEMO的认可
在本次(再次与我无瓜)的活动当中
综合了网友投票以及四位校长的打分
加上我们郑老师的函数评分法 ↓
最终在今天揭晓了我们的一二三等奖
一等奖
一等奖 Narcissus老师的板书
相信报了我们IG化学课的同学们
对Nar老师并不陌生
对板书有着疯狂执念的金牌讲师
众望所归斩获第一
二等奖
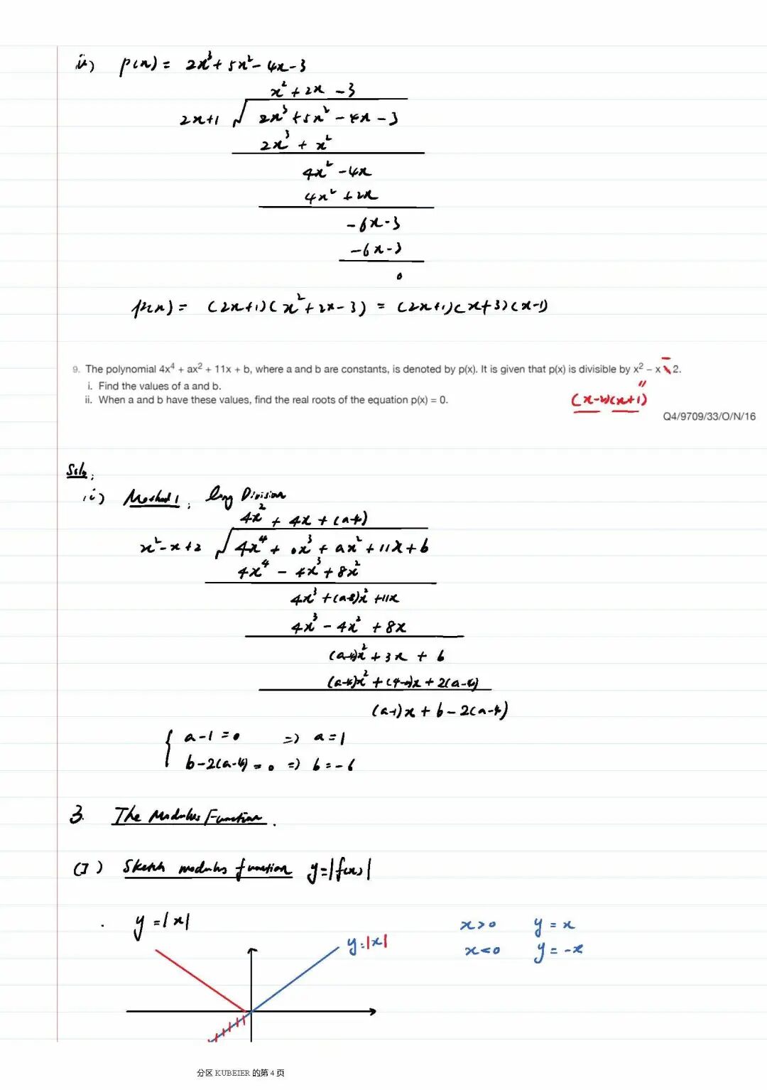
数学 Kevin老师
商学 Milia老师
分列二三位获得二等奖
二等奖 Kevin老师的板书
二等奖 Milia老师的板书
三等奖
获得三等奖的是我们的
经济 Irene老师
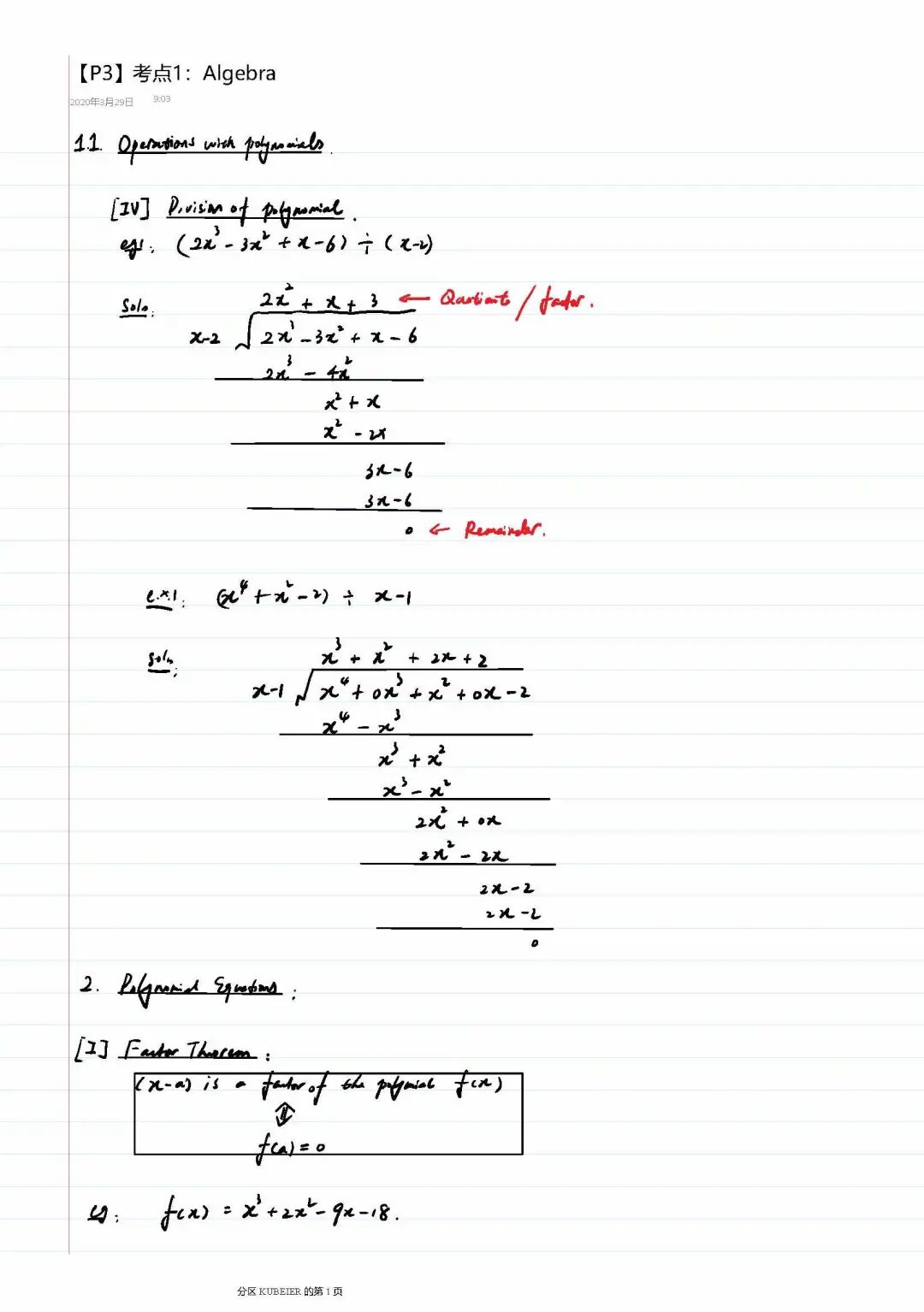
数学 Leila老师
数学 Amy老师
三等奖 Irene老师的板书
三等奖 Leila老师的板书
三等奖 Amy老师的板书
(这次离奇消失的是Irene老师)
写在最后
板书实际上就是老师把知识点展示给学生的过程
也是学生课堂笔记的来源
很多同学在刷题的同时忽略了笔记的重要性
亦或是平时不知道如何记笔记
来COURSEMO吧
日常中养成做好笔记的习惯
整理复习的时候也会轻松许多
拥有最美板书的老师们喊你来上课啦
【扫码咨询课程】
【扫码咨询题库】

