文 |游鲨 / 图| 网络/原创
本文速览:
获取内推码:公众号后台回复游戏公司简称获取校招列表:后台回复“文档”游戏岗位介绍和行情统计:后台回复“岗位”从业者专业统计:后台回复“专业”校招和内推码问题:请查看本文“常见问题”全面了解游戏行业:后台回复“概览”
以下是正文。
游戏公司内推码获取方式:
关注【游鲨游戏圈】公众号后台回复已开启校招的游戏公司简称,如“雷火”或“lh”(不需要加引号“”)即可获取该公司校招内推码(部分公司内推码可直接查看游鲨文档)
开启校招的公司列表和详细信息:
已经开始校招的公司列表、以及近两年举办过校招、但今年还未开始校招的公司列表可以在【游鲨游戏行业资料共享文档】查看后台回复“文档”即可获取点击下方小程序也可直接进入游鲨文档
共享文档链接地址:https://www.kdocs.cn/l/ct4bcS9xHD3K
常见问题:
校招分为秋招和春招(补招),游戏行业秋招一般6月开始,12月结束,春招一般在次年2月开始,5月结束。2026届校招主要面向2026届学生(一般要求毕业时间在2025年9月至2026年8月之间)少部分公司接受往届(比如腾讯)。校招流程节点和校招对象说明可参考下图。
近两年开启校招的游戏公司有80家左右分布在上海、北京、广州、成都、杭州、深圳、厦门等15个城市岗位覆盖较全的公司有:米哈游、腾讯IEG、网易(互娱&雷火)、沐瞳科技、鹰角、叠纸等
近几年组织过校招的公司
游戏公司部门组成一般是游戏研发部门、市场部门、运营部门、职能支持部门。研发部门主要负责游戏研发,一般包括策划、程序、美术、测试、项目管理等职能。市场部门主要负责游戏推广,一般有市场营销(买量/品牌广告)、渠道运营、公关、用研/行研等职能。运营部门负责游戏运营和玩家服务,一般有产品运营(商业化、活动、版本等)、用户/社区运营、数据运营等职能。职能支持部门一般包含人事、行政、财务、法务等职能,负责业务支持和公司运营。不同公司会根据规模(如中小厂可能合并市场与运营)或业务类型(如SLG游戏侧重买量部门,二次元游戏侧重社区运营)调整架构。部分公司的测试、客服、项目管理等会单独设立部门,技术部门也会分为研发技术和中台技术等。
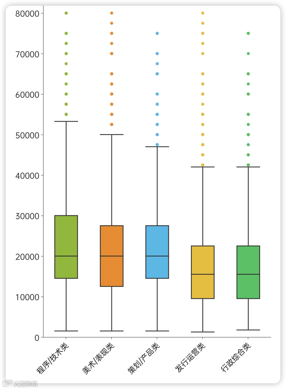
根据游鲨对招聘数据的统计(公司数≈1800,岗位数≈80000,数据时间范围:2024年10月-2025年7月)策划/产品类社招平均月薪区间:10.9-18K、17-28.9K、23.8-39K(分别对应3年以内、3-5年和5年以上经验要求)程序/技术类社招平均月薪区间:11.5-18.8K、17.7-29.6K、25.6-41.2K美术/表现类社招平均月薪区间:10.1-16.5K、16.2-27.6K、24.3-39.7K发行运营类社招平均月薪区间:9.7-15.8K、16.3-27.5K、24.1-39.5K行政综合类社招平均月薪区间:8.1-12.6K、14-22.2K、23.1-35.7K
各岗位平均招聘薪资统计(3-5年经验要求)
具体岗位行情,可使用【游鲨文档-游戏岗位数据表】搜索公众号后台回复“岗位”即可查看
可以使用【游鲨文档-游戏专业统计】搜索查看公众号后台回复“专业“即可获取下图为策划岗位和新传大类专业搜索结果,仅供参考
岗位和类别:策划岗位
专业和门类:新传大类
6、游戏策划常见面试/笔试题目
面试:1)分析某个游戏中某个系统在全局中的作用;2)某游戏中存在一个问题(如流失率上升、付费率下降、pvp匹配体验差)试问解决思路;3)某个游戏有什么缺点,怎么改;4)给你一个设计目标,要求你即兴设计一个简单的副本;5)从AI角度分析一款游戏的怪物;6)即兴按照要求进行人物设定or系统、玩法包装;7)简单分析一下某游戏的战斗系统、经济体系是如何平衡的。笔试:1)设计一个简单的合成系统,用于游戏中各种物品的合成;2)对某热门游戏某一个区域地图进行关卡设计拆分,需要包含:路线分析,布怪机制,难度曲线等多个维度的分析。要求至少拆分10分钟以上的游戏体验区域;3)①为某游戏设计一个2P角色;②基于主角和你设计的2P角色,设计一套双人合作解谜玩法机制;4)根据给定主题设计世界观,简单介绍并阐明该世界观下包括但不限于故事主题、核心矛盾、力量体系、主要势力、主角(玩家)身份及行动驱动力;5)如果让你设计某类游戏的武器技能,你会如何设计它们的效果和伤害值?
7、游戏发行运营常见笔试题目
1)列举喜欢的两款游戏,分析它们在游戏设计、运营方针等各方面的优劣;2)讲述你所经历或者详细了解过的因严重bug或漏洞引起的线上运营事故;3)如何设置舆论监控的矩阵?4)现在需要分析玩家对新上线角色的使用意愿,请简述分析思路,并列举你需要使用的数据指标;5)简述某款游戏的特点和用户特征;6)设计跟某位KOL的合作创意构想。
游鲨公众号后台回复“题目”,可获取策划和发行运营笔面试题目表格:
二、校招通用问题
1、游戏公司校招信息一般会在哪里发布?
1)游戏公司官网(或招聘官网)2)游戏公司公众号/小红书/B站等,名称一般是公司名称,或公司名称+招聘/HR,如“腾讯招聘”、“米哈游招聘”;3)招聘平台,如boss直聘、牛客等;4)公司校招宣讲会/学校就业中心。
不是的。举办校招的公司数量只占整个行业的一小部分;游戏行业有几十家公司每年固定举办校招,另有部分公司根据需求不固定举办校招;具体列表可以查看上文提到的在线文档。
可以参考往届开启时间(见共享文档)确切开启时间游鲨也不清楚~请以官方通知为准。
4、没有校招,或今年不开校招的游戏公司,应届生就不能投递么?
1)一般情况下无法走校招,可以走社会招聘渠道,具体以公司政策为准;2)部分公司(尤其是中小公司)并不明确区分校招和社招,如果符合社招岗位的条件,也可投递。
1)内推码是企业招聘工具之一。对求职者来说,使用内推码可能会有一定的好处,比如简历免筛选、免笔试(具体以公司政策为准);不使用内推码也完全不影响求职;2)投递简历时,在内推码一栏填写内推码,即可完成内推;p.s.不是所有公司都使用内推码,如无内推码,可联系学长学姐推简历,或直接投递。
游鲨内推码来自企业合作等途径;部分公司游鲨暂未收录内推码;游鲨只提供游戏公司的内推码。
7、我在后台输入了公司名称,为什么没有弹出内推码?
可能的原因:1)游鲨未收录该公司内推码;2)该公司的校招还未开始,请核对后再获取;3)关键词有误,如“沐瞳”写作“沐曈”
8、为什么有些内推码显示是“2025届春招”、“2025届秋招”?
可能的原因:1)该公司还没有开始校招,弹出的是往届校招的内推码;2)该公司校招已经开始,但游鲨还没有更新,请1天后再尝试获取。
9、为什么有些公司的官网明明有校招岗位,但游鲨说还未开启呢?
可能的原因:1)该招聘信息是往届校招的,未更新或未招满;2)游鲨没有关注到该公司的招聘信息。游鲨所说的“开始校招”,是以公司发布校招公告为准(一般是公众号文章)
10、投递简历时,提示内推码错误\失效怎么办?
请查看:1)输入/复制的内推码前后是否含有空格,如有请删除后重试;2)字母是否书写错误(如英文的I错写成数字的1),然后重新尝试。
请在游戏公司招聘官网查看简历处理进度。
【可以提供简历模板作为参考】(仅限策划)如有需要,请在公众号后台回复“1”,添加萨鲨老师获取
游戏行业科普:
可查看 游鲨文档--【行业概览(图表版)】和【行业概览(文字版)】后台回复“概览”即可查看
行业概览(图表版),包括游戏公司分类统计、游戏行业动态和投融资,可点击查看具体数据
行业概览(文字版),包括「游戏公司」、「游戏岗位」、「产业链」、「游戏产品」等介绍,共计一万六千多字,长期更新
最后,有任何疑问都可以回复“1”,添加萨鲨老师咨询(包括不限于校招面试咨询、游戏行业问题等)。祝大家求职顺利!
游鲨游戏圈,专注游戏策划/发行/运营/技术培训、企业招聘合作、游戏行业知识分享。

